NAMENITE 1,0% DOHODNINE ZA PRIHODNOST NAŠIH OTROK
Zmagovalec črne liste AAG za leto 2022
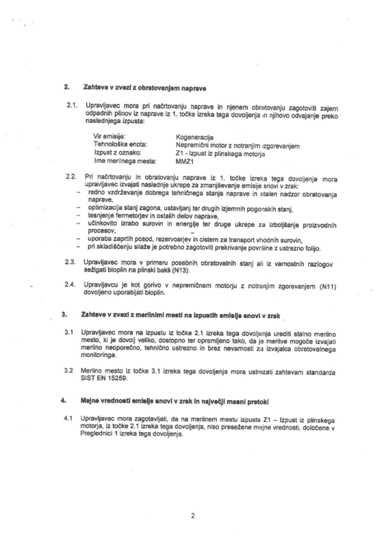
Upravni odbor AAG je na korespondenčni seji, ki je bila v petek 13.12.2022 izbral zmagovalca “ČRNE LISTE 2022”. Po preučitvi vseh dejstev in okoliščin je UO AAG soglasno sprejel sklep, da se razglasi za “zmagovalca” ČRNE LISTE 2022:
Policijska postaja Bežigrad,
Policijska uprava Ljubljana
v okviru Slovenske policije
in
Ministrstvo za notranje zadeve RS
zaradi pristranskega in neustreznega izvajanja nalog in pristojnosti po Zakonu o nalogah in pooblastilih policije, s katerim so brez preverjanja ustreznosti in pravilnosti postopkov z asistenco investitorju Mestne občine Ljubljana omogočili nadaljevanje sporne in neprimerne gradnje povezovalnega kanala C0 čez vodovarstveno območje Kleče.
Obrazložitev
1.Konec leta 2022 se je na področju Ljubljane nadaljevala gradnja povezovalnega kanala C0 na trasi Brod –Ježica. S tem se je MOL kot investitor odločil, da prezre vsa laična in strokovna opozorila, hkrati pa tudi priporočila najvišjih slovenskih političnih organov[1], ki so z deklaratornim aktom opozorili na spornost umeščanje kanalizacijskega voda na vodovarstvenem območju – vodonosniku pite vode za prebivalce Ljubljane. Zajetje Kleče je namreč proglašeno za kritično infrastrukturo, ki ne sme imeti tveganj za onesnaženje. MOL pa počne ravno to: generacijam hoče naprtiti mlinski kamen onesnaženja s fekalijami, paraziti, bakterijami, virusi, tudi kovinami, zdaj odlične, najboljše na svetu, neklorirane pitne vode.
2. Alpa Adria Green že od začetka izvajanja projekta opozarja in se bori proti umeščanju povezovalnega kanala C0 na področje vodovarstvenega območja Kleče. Skupaj s krajani in lastniki zemljišč s tega prostora smo uspeli začasno zaustaviti gradnjo kanala do revizije postopkov in izdaje poročila vplivov na okolje. Žal se je MOL v imenu » prevlade javne koristi« kljub nedokončnosti in pravnomočnosti upravnih in pravnih postopkov odločil, da zanemari ta »nepomembna« dejstva in nadaljuje s sporno gradnjo . Še več, za izvedbo začrtanih del uporablja vsa »pravna« in »nepravna« sredstva, s katerimi želi doseči svoj cilj. Ena izmed takih orodij je tudi uporaba asistence policije za odstranitev okoljevarstvenikov in lastnikov zemljišč, po katerih investitor načrtuje in nasilno vgrajuje kanal C0, ki na svojih zemljiščih protestirajo proti gradnji z namenom preprečevanja nevarnosti okolijske katastrofe v obliki potencialne nevarnosti onesnaževanja pitne vode ali pa samo zaščititi svojo lastnino.
3. Vrhunec takšne prakse se je zgodil 14.12.2022 na področju Ježice ( Ljubljana), ko so policisti PP Bežigrad ( PU Ljubljana) intervenirali in odvzeli prostost protestniku, ki je na svojem zemljišču protestiral proti gradnji kanala čez njegovo zemljišče ter zahteval izkaz dokumentov s strani izvajalca del. Pri tem je bil neuspešen, hkrati pa je proti njemu policija uporabila represivna sredstva za odstranitev in ga ob tem tudi fizično poškodovala . Celotno dogajanje in postopek policije je dostopen na spletnem kanalu[2] in je v slabem mesecu zbral že preko 150.000 ogledov. AAG in javnost je preko medijev zahtevala pojasnila s strani vodstva policije in dobila odgovor » da policija pri nudenju pomoči pristojnim upravičencem ne preverja in ne ugotavlja zakonitosti in korektnosti dotedanjih postopkov, niti ne preverja, ali so podani dejanski razlogi za opravo nekega opravila…Vloga policije je namreč le zagotavljanje varnosti upravičencem….” Ta odgovor razodeva, da Policija dejansko ščiti interes MOL z uporabo podlage 12. člena Zakona o nalogah in pooblastilih policije, ko je nekritično sprejela njihovo zahtevo po policijski asistenci, kljub javno poznani zgodovini neodgovornega umeščanja fekalne kanalizacije čez pitno vodo. Z grožnjami so uslužbenci Policije odgnali lastnike zemljišč in omogočili MOL, da nadaljuje svoje početje.
4. Policija ja za podlago za ukrepanje navedla 12. člen Zakona o nalogah in pooblastilih policije, hkrati pa ignorirala ( kršila) ključni 1. člen istega zakona: zagotavljanje varnosti posameznikom in skupnosti, spoštovanje človekovih pravic in temeljnih svoboščin ter krepitev pravne države ter preprečevanje in odpravljanje nevarnosti, ki ogrožajo naštete dobrine. Namesto da bi preprečevali nevarnost onesnaženja pitne vode za prestolnico, torej za posameznike in skupnost Ljubljane, Policija s svojimi dejanji omogoča umeščanje fekalne kanalizacije in s tem diverzijo na pitno vodo Ljubljane. V ustavi imamo poseben 70.a člen, ki ščiti pitno vodo kot javno dobro, po katerem je zanjo odgovorna država in s tem tudi državna policija. Kako prebivalstvo, tudi ljubljansko, brani ta člen, smo doživeli z izjemno obiskanim referendumom. Policija bi morala upoštevati ta izjemno močan javni interes za zaščito pitne vode, ne pa da dovoli izvajanje ljubljanskega projekta, ki ni v javnem interesu, saj je v nasprotju z Ustavo RS. Projekt MOL to vodo usodno ogroža in obenem tudi zdravje in življenja prebivalcev, ki jih Policija, kot navaja v odgovoru, skrbi in ščiti.

napad policije na člana AAG
5. V Alpe Adria Green se sprašujemo, kdo so ti upravičenci, za katere skrbi policija in drugi represivni organi? So to oblastniki, kapital, ljudje? Kje so tiste meje, ko bomo spoznali, da nepremišljeno poseganje v okolje in naravo lahko povzročijo nepopravljivo škodo samo nam samimi? Narava se bo namreč opomogla od še tako hudih posegov v okolje, za to ima čas. Tega časa pa nimamo ljudje, naše bivanje na tej zemlji je časovno nepomembno, s takimi praksami pa škodimo samo sebi. Ko bo takšno poseganje v okolje preseglo kritično mejo, nam tudi policija z svojo asistenco ne bo mogla več pomagati, skrbeti in nas ščititi.
[1] https://alpeadriagreen.org/2022/11/24/v-aag-prijavili-nadaljevanje-nasilne-gradnje-kanala-c0-na-policijo/
[2] https://www.youtube.com/watch?v=Mv2PV0gZPbg&t=414s
Zmagovalec črne liste AAG za leto 2021

AAG že dvajset let vsako leto izvaja informativno – ozaveščevalno akcijo Okoljska črna lista, na katero uvršča najbolj pereče okoljske probleme, s katerimi se srečuje v okviru svoje redne dejavnosti – civilnega nadzora nad prekomernimi in škodljivimi posegi v okolje in naravo.
Upravni odbor AAG se je po pregledu izvedenih aktivnosti AAG v letu 2001 odločil, da za »zmagovalca« črne liste za leto 2021 proglasi
Glavni inšpektorat za energetiko in rudarstvo
v okviru
Ministrstva za infrastrukturo RS
zaradi nepopolnega izvajanja nalog in pristojnosti pri rednem in izrednem nadzoru zavezancev, predvsem pri zagotavljanju skladnosti izkoriščanja mineralne snovi z določbami koncesijskih pogodb, skladnosti del s potrjeno tehnično dokumentacijo ter zagotavljanju postopkov opustitve rudarskih del.
Obrazložitev
- Inšpekcijski nadzor je bistveni element pri zagotavljanju pravilnosti in ustreznosti izvajanja posamezne dejavnosti ter upoštevanja regulativ v obliki zakonskih, podzakonskih in drugih pravnih aktov. Zakonska podlaga daje inšpekcijskim službam pristojnosti in naloge, s katerimi ugotavljajo dejansko stanje in skladnosti s predpisi, v primeru ugotovljenih neskladnosti pa tudi nabor ukrepov in načinov za odpravo teh nekladnosti.
- Inšpekcija za energetiko in rudarstvo izvaja nadzore na podlagi materialnih predpisov, ki urejajo področje rudarstva, varnosti in zdravja pri delu, skladnosti proizvodov, ter zakonov o zapiranju rudnikov. Z izvajanjem nadzora rudarski inšpektorji zagotavljajo skladnost izkoriščanja z določbami koncesijskih pogodb, skladnost del s potrjeno tehnično dokumentacijo ter prispevajo k zagotavljanju postopkov opustitve rudarskih del. Namen nadzorov rudarskih inšpektorjev je, da zagotavljajo varnost in zdravje pri delu pri podzemnem in površinskem izvajanju rudarskih del ter nadzor nad vplivi rudarskih del na okolje.
- Krovni strateški dokument s področja urejanja gospodarjenja z mineralnimi snovmi je bil sprejet v letu 2018. Osnovni cilj državne rudarske strategije je gospodarjenje, ki omogoča zagotavljanje mineralnih surovin ter ohranjanje dostopnosti naravnih virov sedanji in prihodnji generaciji po načelih trajnostnega razvoja. Temeljno načelo trajnostnega razvoja pri gospodarjenju z mineralnimi surovinami je uravnoteženost med gospodarskimi, okoljevarstvenimi in družbenimi vidiki. Gospodarski vidik zajema racionalno gospodarjenje (raziskave, izkoriščanje, oskrba in sanacije) z namenom zagotavljati družbi potrebne mineralne surovine ob povečevanju dodane vrednosti ter varovati dostop do njih. Okoljevarstveni vidik je zmanjšanje negativnih vplivov izkoriščanja na okolje.
- AAG je v letu 2021 opravila postopke civilnega nadzora v treh kamnolomih na področju cele Slovenije. Na prekomerno poseganje v okolje in težkih posegov v naravne dobrine ter predvsem na slabšanje kvalitete življenja in negativnih vplivov na zdravje so nas opozorili posamezniki in civilne iniciative. Po izvedenih postopkih smo ugotovilil prekomerno poseganje v okolje, kot so prašenje, tresenje tal zaradi miniranja ter posledično poškodbe na okoliških objektih, močno povečan obseg tovornega prometa iz kamnolomov, itd. Prav tako so nam analize upravno-pravnih postopkov in aktov razkrile močno odstopanje od izdanih dovoljenj za delovanje in izkoriščanje mineralne snovi v kamnolomih, kar se odraža predvsem v prekoračenih pridobivalnih prostorih in neskladjih s prostorskimi načrti lokalnih skupnosti.
- Skupni imenovalec za glavno težavo v ugotovitvah civilnega nadzora je geografska umeščenost kamnolomov v okolje, oziroma umeščenost pridobivalnih prostorov v bližino bivanjskega okolja. Čeprav rudarska strategija kot neperspektivna nahajališča opredeljuje kamnolome, ki so v bližini naselij, ter za njih predvideva sanacija, pa se v vseh primerih, ki smo jih v AAG obravnavali, kaže tenzija do nadaljevanja ali celo širjenja izkoriščanja mineralne snovi ter na ta način tudi večji negativni vpliv na okoliško prebivalstvo. Ker v letih 2021-2023 poteče več kot 2/3 koncesijskih pogodb za izkoriščanje mineralne snovi, je pritisk za podaljšanje izvajanja takih dejavnosti s strani koncesionarjev velik, čeprav v marsikaterem primeru primeru ne izpolnjujejo več zakonskih meril in pogojev za izvajanje dejavnosti.
- V primeru posameznih kamnolomov je AAG ugotovila hude pomanjkljivosti pri izpolnjevanju zakonskih in pogodbenih obveznosti do te mere, da so izpolnjeni zakonski znaki za takojšnje prenehanje obratovanja ali celo odvzema rudarske pravice. O ugotovljenih nepravilnostih ter na podlagi prijav posameznikov ali civilnih inciativ je AAG seznanila in opozorila Ministrstvo za infrastrukturo (pristojno za rudarstvo) ter pristojno glavno inšpekcijsko službo za rudarstvo. Na podlagi Zakona o rudarstvu bi pristojni organ po uradni dolžnosti moral začeti postopke za ugotovitev navedenih nepravilnosti in izreči zakonsko predpisane sankcije. Pristojna inšpekcijska služba je v nekaterih primerih izvedla samo delno preverbo nekaterih nepravilnosti ter opravila ogled posameznih kamnolomov, kljub dodatnim opozorilom pa se ni lotila preverbe glavnih očitanih pomanjkljivosti, kot so npr. prekoračen pridobivalni prostor, kar posledično pomeni odvzem rudarske pravice in zaustavitev del in izkoriščanja mineralne snovi. Na ta način je rudarska inšpekcija opustila dolžnostno ukrepanje in si po mnenju AAG zasluži naziv zmagovalke Črne liste AAG za leto 2021.
- V AAG ne nasprotujemo vsesplošnemu gospodarjenju z mineralimi snovmi, vendar pa mora le to biti skladno z načrtovano politiko države na tem področju, torej uravnoteženo med vsemi družbenimi segmenti, kar omogoča ekonomično izrabo mineralnih surovin ter kvalitetno bivansko okolje. To pomeni, da je pri prostorskem načrtovanju tako na državnem kot lokalnem nivoju potrebno upoštevati načelo čim manjših negativnih vplivov na okoliško prebivalstvo, oziroma odmik pridobivalnih prostorov od naselij. To mora veljati tudi za že operativne kamnolome, ki se nahajo neposredno v samih naseljih, kot je tak primer recimo kamnolom Boben v Hrastniku.
» ČRNA LISTA AAG« ZA LETO 2020
Na AAG je prišlo letos največ predlogov do sedaj za “ČRNO LISTO ZA LETO 2020” , zato smo se na UO AAG odločili da izpostavimo tri predloge, ki so po mnenju UO najbolj neekološke v letu 2020:
Za “ZMAGOVALCA” črne liste smo izbrali z delavnim naslovom:
INŠPEKCIJA POSLALA ODGOVOR NA PRIJAVO O NEPRAVILNOSTIH V KAMNOLOMU LAŽE PO ŠTIRIH LETIH
Drugo mesto na črni listi smo izbrali predlog pod delavnim naslovom:
MESTNA OBČINA KRANJ – projekt izgradnje fekalne (ne pa tudi meteorne) kanalizacijske cevi, ki ga je MOP potrdil, na upravnem sodišču pa je po pritožbi AAG padel
Tretje mesto na črni listi smo izbrali predlog pod delavnim naslovom:
NAJLEPŠE MESTO NA SVETU – KRTOVA DEŽELA

ZMAGOVALECA “ČRNE LISTE AAG” za leto2020 sta postala:
– Inšpektorat republike Slovenije za okolje in prostor, ki je podalo oceno stanja v drugem času, ki ni premenljiv z prijavo AAG.
– Ministrstvo za okolje in prostor, ki pušča inšpekcijske službe po celi Sloveniji kadrovsko podhranjene. Ravno tako je nerazumno, da ni v nobeni zakonodaji RS naveden rok v katerem morajo inšpekcijske službe pristopiti k inšpekcijskemu nadzoru za prijavljeno zadevo, tako inšpektorji sami po strokovni ali politični presoji določijo katera prijava ima prednost pri inšpekcijskem nadzoru.
OBRAZLOŽITEV:
Po štirih letih od prijave prekoračitve prekomernega izpusta prahu in prekomernega hrupa, ki jo je namerno povzročal peskokop Lažah v lasti Cestnega podjetja Nova Gorica (CPG) smo v AAG prejeli odgovor okoljske inšpekcije
06.09.2016 smo v prijavi na inšpekcijo za okolje in prostor OE Koper, zapisali da V neposredni bližini vasi (Laže pri Senožečah) deluje kamnolom, ki je bil trenutno še v lasti CPG (Cestno podjetje Gorica). Že več let se krajani na tem območju bojujejo proti delovanju tega kamnoloma, a žal neuspešno. Situacija je vsako leto slabša zaradi onesnaževanja okolja s prahom in hrupom, ki ga proizvede kamnolom z njegovim delovanjem.Situacija je vsako leto slabša zaradi onesnaževanja okolja s prahom in hrupom, ki ga proizvede kamnolom z njegovim delovanjem.
Bel prah, ki se je dvigal in onesnaževal okolico vasi, je presilil krajane da so na določenih mestih morali celo opustiti kmetovanje in ta trend se tudi letos nadaljuje. Hrup številnih tovornjakov, ki so ves dan vozili po cesti proti vasi in jo tudi uničevali, so nadloge, ki krajane pestijo že tri desetletja. Tovornjaki so dodatno zapraševali okolico, hrup le teh pa je presegal dovoljene vrednosti. Po naši vizualni oceni so bili izpusti škodljivih plinov iz njihovih motorjev v ozračje zelo veliki in zdravju škodljivi.
Od inšpekcije smo zahtevali, da takoj ukrepa v skladu s svojimi pooblastili in da nam v zakonskem roku na naš naslov pisni odgovor z navedenimi konkretnimi ukrepi.
23.11. 2020, po štirih letih od naše prijave, smo od inšpektorata republike Slovenije za okolje in prostor, območna enota Koper, prejeli odgovor, da niso ugotovili nepravilnosti. Inšpekcijski pregled pa so izvedli po treh letih od naše prijave, kar pomeni, da so izvedli kontrolni pregled v situaciji, ki ni primerljiv z našo prijavo. Inšpekcijski postopki, ki niso izvedeni v času podane prijave so sporni, ker dokazi zaradi katerih je bila podana prijava, tako ali drugače izginejo!
To ni edini primer delovanja inšpekcijskih služb, naj kot okrepitev zgornjemu primeru, navedemo samo prijavo na inšpektorat v Novi Gorici. AAG je 03.07.2019 podalo: “Prijava dela asfaltne baze, ki obratuje brez okoljevarstvenega dovoljenja”, zaradi onesnaževanja okolja ter ogrožanja zdravja tamkaj živečih prebivalcev. Vse do danes od inšpekcijskih služb nismo dobili odgovora, čeprav po navedbah UE Nova Gorica in Pokrajinskega arhiva v Novi Gorici pri njih nimajo ne gradbenega ter uporabnega dovoljenja za Asfaltno bazo v Vrtojbi, na podlagi tega bi pričakovali, da bi ukrepala vsaj gradbena inšpekcija.
Drugo mesto na “Črni Listi AAG”za leto 2020:
Mestna občina Kranj – projekt izgradnje fekalne (ne pa tudi meteorne) kanalizacijske cevi
Obrazložitev:
MO Kranj je želela s hitropotezno parcialno rešitvijo – priključitve zgolj fekalne kanalizacije iz Laz na že sedaj nedelujočo obstoječo mešano kanalizacijo Stražišča omiliti odgovornost za lokalno veliko okoljsko škodo. Arso ji je slednjo pripisal zaradi malomarnosti njenih (javnih) služb. To bi pomenilo hkrati lažjo legalizacijo nelegalnega obratovanja konglomerata naravi potencialno nevarnih subjektov v Lazah. V Lazah obratujeta dve napravi, ki lahko povzročita onesnaženje okolja večjega obsega (IED napravi). AAG je sicer leta 2017,2019 in 2020 na okoljsko in gradbeno inšpekcijo podal prijavo za prenehanje obratovanja teh naprav in ustavitve nezakonitega skladiščenja, a so prijave obtičale v predalih inšpekcije z očitnim molkom organa. Povsem enako, le da že od leta 2016 po sprejeti sodbi upravnega sodišča, ARSO nikakor ne zaključi ugotavljanje odgovornosti in sanacije okoljske škode v Lazah. IED naprava Ekorel ima dovoljenje za odstranjevanje in predelavo odpadkov in sicer 73,72 ton dnevno (93% je nevarnih odpadkov), kapaciteta naprave pa je sicer kar 460,32 ton dnevno. IED napravo ima še Ekol d.o.o. s skupno zmogljivostjo 499,2 tone, za katero je Ekol pridobil dovoljenje, ne da bi javnost smela pri tem sploh sodelovati. Ob tem v njihovi neposredni bližini obratuje ena največjih livarn tlačnega litja aluminija v zasebni lasti v RS, ki po javno dostopnih podatkih nima gradbenega dovoljenja za objekt in ne ustreznega okoljevarstvenega soglasja oziroma okoljevarstvenega dovoljenja za obratovanje. Pri pekovskem podjetju Don don v neposredni soseščini takisto skušajo legalizirati objekte šele preko nastajajočega novega OPPN Laze.
MO Kranj do sedaj očitne obremenitve okolja, izlivi iztokov iz IC Laze v katastrofalnem stanju, onesnaževanje zraka, požari in klavrni pogoji življenja niso posebej zanimali. S sondiranjem starih industrijskih bremen, so v Lazah odgovornost (in s tem stroške sanacije) skušali prevaliti na davkoplačevalce. Podobno, le v drugo smer občinskih stroškov, se jalovo lotevajo postopkov državni organi.
Nekje vmes so dokončno izgubljeni in prizadeti avtohtoni habitati. Nekje v tem peklenskem preseku so prebivalci Laz, tretjerazredni državljani brez osnovnih pravic. Rak in demenca sta v zadnjih letih potrkala na vsaka vrata, ljudje si ne upajo niti skozi vrata, kaj šele na smrtno nevarno cesto. Celo zastrupitve domačinov ob požaru pred enim letom pa so javno minimalizirane.
Posledično imamo v Lazah “unikatne projekte” kot so fekalna kanalizacija brez ureditve meteornih voda. Te bodo skupaj z industrijskimi odplakami še naprej tekle po 50 let starih ceveh v Sorško reko skozi zaščiteno področje Nature 2000.
Šele s sodbo upravnega sodišča bo na mizo prišla vsebina. Javnost (predvsem strokovno) je do sedaj še vsaka lokalna oblast ignorirala. Financer bo moral argumentirano odgovoriti na pripombe glede neracionalnih tveganj za ljudi in naravo. Posebej še, ker gre (od novembra 2000) za uradno zaščiteno širše vodovarstveno območje zajetja pitne vode Sorško polje.

Tretje mesto na “Črni Listi AAG” za leto2020 :
Kanalizacijski vodi pod najlepšim mestom na svetu
»Ljubljana je najlepše mesto na svetu«, so besede župana, ki se hvali vse povprek; če bi vprašali majhno živalco pod zemljo, pa bi ta dejala, da je njegova dežela pod zemljo najlepša. Tako kot je krtova dežela prepletena s številnimi rovi, tako so tudi kanalizacijski vodi pod najlepšim mestom na svetu. To še ne bi bilo tako sporno, če bi bili ti narejeni v skladu z vsemi standardi, ki jih poznamo v današnjem svetu, v 21. stoletju. Še Rimljani so jih poznali, toda za glavno mesto Republike Slovenije to ne velja.
Slovenski pregovor pravi, da se na napakah učimo. No, morda … Toda tudi to ne velja za glavno mesto naše lepe domovine pod Alpami. Ko so začeli z izgradnjo Centralne čistilne naprave je takratno vodstvo občine marsikaj obljubljalo. Pa so začeli z deli in tudi z izgradnjo kanalizacijskega voda C0. Ko pa je bil ta zgrajen, pa se ne njegov načrtovalec pošteno uštel, cevi kanala C0 so bile 60 cm pod kanalizacijskim kanalom A0. Saj veste, kako se reče, kar se ne vidi, ne boli. Tudi pri tem projektu je bilo tako, cevi so pokrili z zemljo, potem pa glej ga zlomka iz kanala C0 se je začel širiti grozno smrdeč vonj. Zakaj? Odplake so ostajale v kanalu, saj ni bilo padca za njegov iztok. »Kaj pa sedaj?« so se spraševali občinski možje. »Nič,« postavili so dve črpališči in zadeva je bila rešena … Je bila res? Ne, še zdaleč ne.
Ljubljana, ki se ponaša z najlepšim mestom na svetu in ki nosi lesketavo ime »zelena prestolnica Evrope« pa res mora biti v samem vrhu. Saj to ji pa le pritiče, če ne drugače pa z zgrešenimi investicijami. In tako so vrli možje že pred leti sprejeli in soglasno potrdili bizarno idejo, da bodo zgrešeni projekt industrijskega kanala C0 napeljali tja gor proti Kranjski, vse do Medvod. Po besedah sodeč so to zelo lepo sliši, toda v praksi, pa je to malo drugače.
Industrijski kanal C0, ki je že v samem štartu pri Centralni čistilni napravi v Zalogu, napačno zgrajen, naj bi sedaj bi speljal po rodovitni ravnici Ljubljanskega polja, kjer je Mati Narava skozi tisočletja nanašala prod in kjer so danes bogate njive z zelenjavo in žiti, ki oskrbujejo »tisto najlepše mesto na svetu«, tisto »zeleno mesto«, ki se bohoti s priznanji, a je rabelj za svoje meščane.
Na besede kmetov oziroma lastnikov zemljišč se tisti vrli ljubljanski možje in dame zbrani v mestni hiši ne ozirajo; ne ozirajo se na strokovnjake, niti ne na Mednarodno okoljsko organizacijo Alpe Adria Green ne. Ne, oni se ne ozirajo na nikogar. Pomembno jim je, da pijejo »domačo« vodo iz plastenk, za meščane pa jim ni mar. Verjetno verjamejo županu, da se kopa v Ljubljanici, tako je to čista reka, verjetno je on tisti, ki je prepričan, da »raja« lahko to vodo pije, ali pa … ali meščani najlepšega mesta na svetu in zelene prestolnice Evrope sploh pijejo vodo?
Glede na to, da je Ljubljana najlepše mesto na svetu – vsako leto; glede na to, da je Ljubljana zelena prestolnica Evrope – vsak dan; pa bi bilo res sramotno, da ne bi kakšnega leta zaostala na Črni listi, ki jo podeljuje mednarodna okoljska organizacija Alpe Adria Green.
Če bi bili na Ljubljanskem gradu še glasbeniki, ki igrajo na fanfare, bi jih pozvali, da glasno zaigrajo na svoje instrumente in potem bi z največjim veseljem razglasili laskavo priznanje temu najlepšemu, zelenem, svetovnemu mestu na svetu, da je tudi v letu 2020 na Črni listi.
»ZMAGOVALEC ČRNE LISTE AAG« ZA LETO 2019
Glavni vir vode za Istrsko Slovenijo je kraški izvir reke Rižane. Obsežni sledilni poskus pred okoli štirimi desetletji je dokazal stekanje vode vanj s skoraj 240 kv. km obsežnega zaledja, ki sega do Brkinov. Na podlagi tega so bile sprejete varnostne cone z omejitvami dejavnosti. Izdelana je bila ocena ogroženosti, kjer so bile izpostavljene prometnice v prvi in drugi varnostni coni. Glede na to, da se dnevno prepelje tudi preko 100 vlakovnih kompozicij s skoraj 3 milijoni ton naftnih derivatov in drugih kemikalij ter, da predstavlja skoraj tri četrtine tovora na slovenskih železnicah blago iz/za pristanišče v Kopru, bi pričakovali, da bo narejeno vse za zagotovitev varnosti. Če dodamo še navedbe, da en »luški evro« ustvari sedem drugih, bi že z ureditvijo kilometra lovilcev vzdolž proge vsako leto, že zdavnaj uredili razmere in bili pripravljeni na nesreče, kot se je zgodila letošnje poletje. Če k temu dodamo dve opozorili, kot je bila prometna nesreča na cesti med Kozino in Podgradom ter izpusti farme, je brezbrižnost toliko manj razumljiva.
Res, da se kemikalije s prevrnjenega vagona še niso pojavile v izviru, kar za izvršno oblast še ni dovoljšen razlog za kazensko ukrepanje zoper odgovorne v železniškem prometu, očitno niso bili to dovolj močni razlogi, da bi se pristopilo k zavarovanju izvira. Še posebej je nerazumljivo, ker naj bi proga bila uporabljena tudi po izdelavi dodatne železniške proge iz pristanišča.
Zaradi zgoraj navedenega je na predlog Komisije pri UO AAG ”ZA IZBIRO NAJBOLJ NEEKOLOŠKE OSEBNOSTI LETA” UO AAG v torek 07.01.2020 potrdil da se, kot >ZMAGOVALCE ČRNE LISTE AAG ZA 2019< razglasi VODSTVO SLOVENSKIH ŽELEZNIC, za neodgovorno dosedanje delo in »verovanje v božjo previdnost« še naprej, kljub napovedim o povečanju pretovora iz/za pristanišče.

Obrazložitev
V železniškem predoru blizu Dola pri Hrastovljah je 25.06.2019, malo pred 15. uro, iztirilo šest vagonov, v katerih je bil kerozin. Dva vagona sta se nagnila na obok predora, na obeh je zazevala odprtina, iz katere je začel iztekati nevaren kerozin. Kasneje se je izkazalo, da je gorivo iztekalo iz enega vagona. Koliko kerozina je izteklo v tla, še vedno ni uradno znano. Zaradi bližine Rižane je bil strah domačinov pred ekološko katastrofo upravičen.
Po okvirnih ocenah je v železniškem predoru pri Hrastovljah, zaradi nezgrajenega zbiralnika odpadnih voda z lovilci olj, izteklo v tla 10.700 litrov kerozina. V zemljini, ki so jo izkopali in odpeljali na deponijo v Lenart, naj bi ga bilo tisoč litrov. Istra je v krču in pričakovanju vodnega vala, ki bo postregel z večjim deževjem in odnesel kerozin v vodovodno omrežje.
Kerozin je rakotvoren in je nevaren, če vstopi v pitno vodo, ne samo za človeka, temveč za vse življenjske vrste. Enako nas mora skrbeti reka Rižana in morje s svojimi prebivalci.
Poleg tega, da je kerozin rakotvoren in njegovo uživanje močno obremeni jetra, je treba vedeti, da bo, če pride v vodarno, uničil kompletno postrojenje ultrafiltracije. Zamašil bo mikropore in zgodba ultrafitracije vode bo končana.
Z vsakimi padavinami igramo rusko ruleto. To pomeni, da če se bo kotanja napolnila z vodo, bo na površini te vode kerozin. Vsekakor pa se ni nihče odzval na predlog AAG-ja , da se namesti ‘online monitoring’. Izdelujejo ga Angleži in opravlja meritve ves čas, neprestano in ne samo vsakih osem ur. Tekoče bo zaznal, da je polutant prišel do vodnega vira. To bi bilo smiselno iz treh razlogov, da se ščiti vodarna, da se pravočasno obvesti ribogojca in da se pravočasno ukrepa pri zaščiti reke in morja.
‘Onesnaževalec plača’ Koprska občina kot Rižanski vodovod bi od Slovenskih železnic morali zahtevati nakup takšnega monitoringa. “To je nekaj neizbežnega in normalnega”
Drugi predlog, ki ga je v imenu AAG predlagal član UO Gorazd Pretnar je bioremidiacija. Gre za obdelovalni postopek, ki temelji na naravnih procesih, pri katerih mikroorganizmi spremenijo okoljsko onesnaževanje v tleh, podtalnici in sedimentih do neškodljivih končnih produktov. Nabaviti je potrebno mikroorganizme, ki bodo razgradili vse, kar je ostalo. Dovajati jim je potrebno le dovolj tekočine in hranilnih snovi, da pride čim prej do biološke razgradnje. Ti mikrogoranimi niso gensko spremenjeni, najdemo jih v naravi in imajo encime tudi za razgradnjo naftnih derivatov.
Pri reševanju tako zapletene situacije smo v AAG pogrešali sodelovanje dveh ministrstev, ki se financirata iz davkoplačevalskega denarja. Prepričani smo, da vzorcev ne bi smel jemati Rižanski vodovod na stroške uporabnikov, temveč je to naloga zdravstvene inšpekcije, ki ima za to zaposlene in usposobljene ljudi. Prav tako menimo, da bi se moral v zadevo vključiti okoljski minister in inšpektor za kemikalije, saj je šlo za kemijsko nesrečo. V Sloveniji je še veliko predorov, ki nimajo zbiralnikov odpadnih voda z lovilci olj, tako da je le stvar časa, kdaj in kje bo prišlo v železniških predorih do podobne nesreče.
ZMAGOVALEC ČRNE LISTE AAG ZA LETO 2018
Na predlog Komisije pri UO AAG ”ZA IZBIRO NAJBOLJ NEEKOLOŠKE OSEBNOSTI LETA” je UO AAG v sredo 23.01.2019 potrdil da se, kot >ZMAGOVALCE ČRNE LISTE AAG ZA 2018< razglasi Mestno občino Ljubljana, MOL, za projekt kanal C0 in sicer zato ker MOL:
– gradi kanalizacijo velikega pretoka v vodonosniku od Broda do Ježice, ki je glavni (iz)vir Ljubljanske pitne vode;
– ve, da velike koncentracije nevarnih odpadnih voda ne sodijo v vodonosnik, ki zagotavlja več kot 300.000 prebivalcem Ljubljane 90% dnevnih potreb po pitni vodi, zato tega niti z besedo ni omenila v vlogi za EU sredstva, ARSO, ki je izdal vodno soglasje pa je to namerno zamolčal;
– ve, da potresno aktivna geološka prelomnica le sto metrov pod površjem razpolavlja vodonosnik od Broda do Ježice, da sunkovita, tudi pet metrov visoka nihanja podtalnice v vodonosniku sprožajo močne geohidrološke sile, kar bo trajna grožnja za poškodbe kanalizacijskih cevi, v vlogi EU, v identifikaciji tveganj pa tega sploh ne omenja;
– ve, da je vodonosnik neprimerno okolje za umestitev večgeneracijskega objekta kanalizacije velikega pretoka, a so v MOL prevladali komercialni in pridobitni interesi nad javnim interesom varovanja vodnega vira in pitne vode;
– ve, da je zaradi napačnega izbora trase v (iz)viru pitne vode med Brodom in Ježico s projektom za kanal C0 vse narobe, zato je maja 2018 predstavila variante popravila slabega projekta, nove trase, ki ne bi ogrožala vodnega vira pa ni ponudila;
– krši vsa pravila pogodbenih odnosov, ker izvaja dela brez načrta za izvedbo, ki bi po normativih FIDIC moral odpraviti vse napake, zato deluje v nasprotju z veljavnimi predpisi RS in pogodbenimi predpisi EU.
OPN MOL 2010 BAZA OKOLJSKIH DEGRADACIJ
MOL je s spornim sprejemom OPN MOL 2010 umestil kanalizacijo na območje življenjsko pomembnega vodnega vira, v vodonosnik od Broda do mostu čez Savo na Ježici. Znano je, da del Save prav tu ponika v prod vodonosnika, se v njem v toku prečiščuje in čista, kot na izvirih Save, v slapu Savica ali vrelcih Zelencev, odteka na bližnje vodnjake Šentvid in Kleče, kjer se povsem naravna črpa v vodovodni sistem Ljubljane. Zato je ta vir dejansko izvir Ljubljanske pitne vode. Vodonosnik od Broda do Ježice zagotavlja Ljubljani 90% dnevnih potreb po pitni vodi.
MOL-ova TRGOVINA Z ODPADNIMI VODAMI OGROŽA (IZ)VIR PITNE VODE
MOL je kmalu po sprejemu OPN na vodovarstvenem območju (VVO) med Brodom in Ježico naročil projekt mega-kanalizacije premera 1.200 mm, čeprav tu ni potreb po priključkih na kanalizacijo. Poslovni interes, ustvariti pogoje komercialnega prenosa kanalizacije z najnižjimi stroški in čim prej pograbit EU sredstva, so v MOL-ovi politiki postavljeni visoko nad javni interes varovanja vodnega vira. Zato je MOL umestil kanalizacijo na dostopno pot, ki je v večinski javni lasti, računajoč, da bo s tem izločil okoliške lastnike zemljišč kot stranke v upravnih postopkih. Javna pot ni ravna črta najkrajših razdalj, kar je za izbrano gravitacijsko odtekanje odplak tudi primerno, ampak gre za dve skoraj vzporedni, več kot sto metrov oddaljeni in prekinjeni poti. Njuna kanalizacijska povezava tako oblikuje velik okljuk, meander, ki zaseda bistveno večjo površino vodonosnika od ravne povezave. Stroka ve, da se v izogib številnih motenj, gravitacijski naklon z visokimi pretočnimi obremenitvami ne vodi po ovinkih. MOL je med tem že prepričal župana Vodic in Medvod, da sta odstopila od svojih, že sprejetih planov za odpadno vodo (Medvode so zato plačale pol milijonsko kazen) in zakupile kapacitete kanala C0, kot so imenovali kanalizacijo od Broda do Ježice in naprej do čistilne naprave Zalog, kamor bi MOL prenašal njihove odpadne vode.
MOL V TAJNOSTI IN SAMOVOLJNO GRADI SVOJ KANAL C0
MOL je na osnovi neprimernega prostorskega akta za VVO od Broda do Ježice, OPN 2010 in v prikrivanju pred strokovno in prizadeto javnostjo ter lastniki zemljišč, z vsemi sredstvi, tudi izsiljevanjem vlade RS s tožbo, ter neustreznim projektom pridobil zavajajoče gradbeno dovoljenje (GD) za kanal C0 kot manj zahteven objekt, čeprav gre za kanalizacijo velikega profila, ki sodi v kategorijo zahtevnih objektov. Gradbeno dovoljenje je nepopolno, ker nima logično povezanih parcel, natančnih geodetskih izmer, zakoličb trase in služnosti (vseh) lastnikov na prečnih parcelah in ob javnih poteh, zato ne more urediti funkcionalnih gradbišč ob trasi kanala C0 itd. Kršena je tudi Uredba o vodovarstvenem območju za vodno telo vodonosnika Ljubljanskega polja s prilogami (Uredba) v postopku pridobitve soglasij in GD ni upoštevalo, da gre za zahtevni objekt, za življenjsko pomemben vodonosnik ni bil izveden postopek celovite presoje vplivov na okolje (PVO) in ni bilo javne razprave, ki bi omogočila udeležbo javnosti pri projektu za katerega velja najvišji javni interes.
IZVEDBA NE POTEKA PO VELJAVNIH PREDPISIH IN POGODBENIH ZAVEZAH
MOL je s pomanjkljivim projektom za pridobitev gradbenega dovoljenja, (tistim, ki ga je septembra 2014 Služba vlade RS za razvoj in evropsko kohezijsko politiko, v odgovoru na tožbo, označila za »pavšalni projekt«), pričela z izvedbo kanala C0 v vodonosniku med Brodom in Ježico. Izvedba poteka brez projekta za izvedbo (PZI) izdelanim v skladu z normativi FIDIC, na katerega bi VO-KA morala izdati soglasje (pogoj iz GD). Po pogodbenih zavezah bi MOL morala delovati po normativih FIDIC in v tej zvezi s PZI odpraviti vse nakopičene napake okrog kanala C0, ter delovati v skladu z vsemi veljavnimi predpisi RS. Dejstva so nasprotna. Brez služnosti, geodetskih in geoloških izmer, natančnih zakoličb trase, tehničnih rešitev izvedbe, statičnih izračunov in številnih drugih pomanjkljivosti, je na gradbišču kaos, MOL-ovi bagerji nasilno, brez pravne podlage, vdirajo na zemljišča lastnikov. Zrevoltirani in ponižani lastniki na pomoč kličejo inšpekcijo in policijo, ki je večkrat posredovala in prekinjala gradnjo, ker izvajalec razen gradbenega dovoljenja druge ustrezne izvedbene in pogodbene dokumentacije ni mogel predstaviti.
POŠKODBE KANALIZACIJE BODO OBJEKTIVNA STVARNOST
Na tem območju se bo v stalnem pretoku zadrževalo več tisoč ton mešanih gospodinjskih, industrijskih, fekalnih, meteornih in drugih odplak kanalizacije. Ta prostorsko okoljski in infrastrukturni koncept je zgrešen in nepotreben. Ljubljana, ki ima dobro razvejano kanalizacijsko omrežje, kanalizacijskih priključkov na območju dragocenega vodnega vira med Brodom in Ježico ne potrebuje. To je dokaz, da MOL spodbuja dokazano škodljiv večgeneracijski objekt, katerega potencial, ekološka bomba, bo trajna grožnja onesnaženja in zastrupitve vodnega vira in pitne vode. Ta prihodnost, ki ni daleč je najslabša popotnica prihajajočim generacijam.
Vodonosnik Ljubljanskega polja je neukročena narava. Le nekaj deset metrov pod površjem ga med Brodom in Ježico preči geološka prelomnica, ki ustvarja aktivno potresno dogajanje. Nihanje vodostaja hudourniške Save, katere del ponika v vodonosnik, ustvarja v vodonosniku sunkovita, več metrov visoka nihanja podtalnice. Ob spletu pričakovanih hidrogeoloških in potresnih aktivnosti v vodonosniku, lahko naravne sile poškodujejo cevi kanala C0, nevarne odplake bi odtekale in onesnaževale vodonosnik in pitno vodo ter ogrožale zdravje in življenja ljudi. To so realne napovedi, kakor tudi dejstvo, da bi močan potres sprožil izliv tisočih ton nevarnih odplak, ki bi trajno onesnažile vodonosnik in podtalnico, Ljubljana pa bi ostala brez naravnega vira in zajema pitne vode.
Nenazadnje, če upoštevajmo dejstvo, da je kanal C0 večgeneracijski projekt, da se materiali kanalizacijskih cevi starajo in da vsa postarana kanalizacija pušča, si ponovimo vprašanje:
– zakaj MOL gradi kanalizacijo velikega pretoka nevarnih odpadnih voda v glavnem (iz)viru ljubljanske pitne vode?
– Kakšna družba, strokovna znanja in etična zadržanja sploh dopuščajo takšne strašljive projekte, ki jim v svetu ne najdemo para?
– Ustava RS, 70. a člen,(3):»Vodni viri služijo prednostno in trajnostno oskrbi prebivalstva s pitno vodo in z vodo za oskrbo gospodinjstev in v tem delu niso tržno blago.«
– Na potezi je pravna država, ki mora ustaviti izvajanje kanalizacije v vodnem viru od Broda do Ježice, ki ustvarja pitno vodo za Ljubljano in v tem oziru ni tržno blago.
Iz AAG smo 24.10.2018 leta poslali sledečim predstavnikom pravne države:
– g. Jure Leben, minister Ministrstvo za okolje in prostor RS;
– Dragica Hržica, glavna inšpektorica Inšpektorat RS za okolje in prostor;
– g. Drago Šketa, generalni državni tožilec Vrhovno državno tožilstvo RS;
– mag. Tatjana BOBNAR, V. d. generalnega direktorja policije,
– Varuh človekovih pravic RS
Od vseh zgoraj navedenih sta se odzvala samo Varuh človekovih pravic RS ter Minister MOP Jure Leban, ki je sicer organiziral sestanek na MOP vendar kljub naši zahtevi, da nam dostavijo zapisnik sestanka, ki ga je sklical Aleš Prion – sekretar na MOP, le tega do danes nismo prejeli.
Prav tako smo iz AAG 24.10.2018 poslali “Javni poziv predsedniku Republike Slovenije, gospodu Borutu Pahorju, vrhovnemu poveljniku obrambnih sil RS, za takojšnjo ustavitev del na kanalu C0, preko strateško pomembnega glavnega vodovarstvenega območja glavnega mesta RS Ljubljane”. Urad predsednika države je sicer 26. 10.2018 predal zadevo v reševanje in ukrepanje Ministrstvu za obrambo, vendar do danes s tega ministrstva niti iz urada predsednika države nismo prejeli odgovora.
Država od NVO, ki delujejo v javnem interesu zahteva vsakoletna poročila o delu in finančna poročila ne glede ali finančno podpre delo NVO ali ne, politika, ki pa vodi državo pa si pridrži pravico ali bo na dopise in razne pripombe na osnutke uredb in zakonov NVO odgovorila ali ne.
ČUDNO, PA PRAVIMO, DA ŽIVIMO V PRAVNI DRŽAVI!
Povezave:
AAG podal pritožbe za projekt MOL za kanal Co na EU institucije
Javni poziv predsedniku Republike Slovenije v zvezi kanala C0
AAG poslal zahteve oz. prijavo v zvezi z gradnjo kanala C0
PETICIJA PROTI OGROŽANJU VIRA ZDRAVE PITNE VODE V LJUBLJANI!
ZMAGOVALCI ČRNE LISTE AAG ZA LETO 2017
Na predlog Komisije pri UO AAG ”ZA IZBIRO NAJBOLJ NEEKOLOŠKE OSEBNOSTI LETA” je UO AAG v petek 09.02.2017 potrdil da se, kot >ZMAGOVALCE ČRNE LISTE AAG ZA 2017< razglasi krivce za požar v Kemis-u ter prepočasno ukrepanje odgovornih pri požaru in sicer:
A. Gospodu Emilu Nanutu, direktorju podjetja Kemis d.o.o. zaradi povzročitve splošne nevarnosti in nevestnega upravljanja podjetja Kemis, katerega posledica je bila izjemen in strupen požar na Vrhniki, dne 15.maja 2017, ko so zagoreli odpadki, v več deset tonskih količinah, med njimi več kot polovico nevarnih.
B. Podjetju Kemis, ki je v sestavu podjetja Gorenje, prav tako zaradi povzročitve splošne nevarnosti.
C. Ministrstvu za obrambo, Upravo RS za zaščito in reševanje in Inšpektorat RS za varstvo pred naravnimi in drugimi nesrečami, ki sta v sklopu ministrstva ter ministrico za obrambo gospo Andrejo Katič, ki je zaspala, skupaj z obema, njej podrejenima enotama ministrstva in ni takoj reagirala v primeru izjemnega požara v Kemisu na Vrhniki.

Obrazložitev:
A)
1. Gospod Emil Nanut, direktor podjetja KEMIS kemični izdelki, predelava in odstranjevanje odpadkov d.o.o., kot odgovorna oseba (tudi po Zakonu o varstvu pred požarom – 9.člen), je z nevestnim upravljanjem in nespoštovanjem predpisov o požarni varnosti omogočil razvoj požara do izjemnega obsega na Vrhniki in okolici, ki je zelo močno onesnažil okolje, vode, tla, kmetijske in vrtne pridelke in predvsem zrak in s tem deloval zdravstveno zelo škodljivo na prebivalce in druge prisotne na področju delovanja strupenih produktov gorenja več deset ton odpadkov, med njimi več kot polovica nevarnih.
2. Zakon o varstvu pred požarom je močno usmerjen v preventivo pred požarom in med drugim zahteva (10.člen), da so ukrepi varstva pred požarom načrtovani in izvedeni tako, da čim bolj preprečijo nastanek požara, ob požaru pa omejijo njegovo širjenje. Podjetje Kemis d.o.o. je namreč skladiščilo in predelovalo več sto ton odpadkov, med njimi tudi nevarnih, ki spadajo med požarno nevarne snovi po Zakonu o varstvu pred požarom, to so gorljive trdne, tekoče in plinaste snovi (5.člen). V času izbruha požara (okrog dvajsete ure) ni bilo v podjetju nikogar. Ni bilo varnostnikov, usposobljenih za gašenje požara, ki bi takoj evidentirali lokacijo nastanka požara in nemudoma pogasili goreče snovi, ter s tem omejili širjenje požara po Zakonu o varstvu pred požarom (10.člen) in ne bi prišlo do izjemnega požara. Dokaz, da je bilo 24 urno fizično varovanje objekta, še posebej zaradi zelo velikih količin gorljivih snovi, nujno, je posredno tudi uvedba take službe po požaru. Preventiva pa je odpovedala na celi črti, za kar je odgovoren direktor podjetja.
3. Očividci so poročali in razpolagajo s slikovnim materialom, da je požar pridobival na moči dalj časa (vsaj 15 minut), kar potrjuje potrebo po ustrezni preventivi, kar v tem primeru, z ozirom na prisotnost več sto ton gorljivih snovi, pomeni zaposlitev dveh varnostnikov za čas izven delovnega časa, ki se je zaključil ob 15 uri. Gasilci in drugi so prišli do požara šele, čeprav relativno hitro, ko je bil požar močno razvit, s plameni nad streho stavbe. Direktor podjetja z ničemer ne more opravičiti grobega kršenja Zakona o varstvu pred požarom, saj ni bilo ustrezne preventive z ozirom na njegovo dejavnost.
4. Posledice požara in njegovega gašenja so številne in izjemno velike, mnoge od teh tudi dolgoročnega značaja. Gasilne vode so se razlile v potok Tojnica, v Naturo 2000 in ga popolnoma uničile. Ker v konstrukcijo stavbe ni bila vgrajena ustrezna preventiva, so se gasilne vode, kljub večjemu lovilnemu bazenu razlile v glavnem v potok Tojnico z vsemi strupi in ga uničile z vsem življenjem. Stavba bi morala tudi ob polnem bazenu za razlivne vode, prekomerne vode zadržati znotraj ustreznih zidov stavbe, ki pa jih ni bilo.
5. Dolgoročne škodljive posledice za zdravje ljudi na Vrhniki in bližnji okolici niso pravilno ovrednotene, saj ni meritev največjega onesnaženja zraka, ki so se ga nadihali krajani in drugi prisotni v noči in drugi dan po požaru. Drugi dan je bil meglen in so se strupi še zadrževali v zraku, sledil je dež, vendar so tudi meritve izpranih vod s streh izostale. Te bi namreč dodatno pokazale, kako strupen je bil zrak v tistem času, kar je najbolj vplivalo na možnost močne škodljivosti za zdravje, ki se lahko pokaže kasneje, saj je bilo dokazano po več dneh, da so bili prisotni v prekoračeni koncentraciji tudi zelo strupeni dioksini, katerih del je padel na tla iz zraka.
6. Izjemno škodljivost neodgovornega ravnanja direktorja so obsodili tudi svetniki občine Vrhnika, ki so sklenili, da se mora Kemis d.o.o. izseliti iz Vrhnike.
B)
Vse napisano, tako kot za odgovornost direktorja velja po predpisih tudi za podjetje kot gospodarsko družbo. V tem je tudi posredna odgovornost podjetja Gorenje, v katerega sklopu je Kemis d.o.o.
C)
1. Inšpektorat RS za varstvo pred naravnimi in drugimi nesrečami se očitno ne zaveda, kaj pomenijo sto tonske količine gorljivih odpadkov na majhni lokaciji. Kemis d.o.o. je posloval na tej lokaciji več let in se jim ni zdelo pomembno, da zahteva odpravo ključne napake pri preventivnih ukrepih po Zakonu o varstvu pred požarom, ker ni bilo uvedeno 24 urno fizično varovanje. Kršenje preventivnih ukrepov je trajalo več let, do lanskega izjemnega požara. Tako varovanje bi zanesljivo preprečilo razvoj začetnega vžiga v izjemno strupen požar velikega obsega. Zato je njegova uvrstitev na Črno listo 2017 povsem upravičena. Še toliko bolj, ker sta enaki njihova malomarnost in kršenje Zakona o varstvu pred požarom botrovala tudi drugima dvema izjemno strupenima požaroma ob gorenju velikih količin gorljivih odpadkov v Zalogu pri Novem mestu in v Ljutomeru. Tudi tam ni bilo 24 urnega fizičnega varovanja pred požarom.
2. Enaka utemeljitev za uvrstitev na Črno listo 2017 velja za slabo delo Uprave RS za zaščito in reševanje. V opisu njihovih nalog so tudi preventivni ukrepi, ki so v primerih treh lanskih požarov izostali, pa bi jih lahko preprečili.
3. Ministrica gospa Andreja Katič prav tako zasluži uvrstitev na Črno listo 2017, saj spada spoštovanje Zakona o varstvu pred požarom in preventivno protipožarno ukrepanje v njen resor. Očitno se ne zaveda, kaj pomeni prisotnost več deset ali sto ton gorljivih materialov na majhni lokaciji za požarno varnost. Ker ni zahtevala od podrejenih organov evidence in ustreznih preventivnih protipožarnih ukrepov, je posredno odgovorna za vse tri že omenjene velike požare v letu 2017, zaradi kršitve Zakona o varstvu pred požarom. Prav tako je odgovorna za napačna in zavajajoča poročila komisij, ki so ugotavljale morebitno kršenje predpisov podjetij, v katerih so izbruhnili veliki požari, saj so ta poročila ugotavljala, da so bili po predpisih potrebni ”papirji” več ali manj ustrezni. Kljub temu pa so izbruhnili izjemno veliki požari. Torej je preventiva odpovedala, kar bi ministrica morala sankcionirati kot kršenje Zakona o varstvu pred požarom in zahtevati, da se v poročilih ugotovi, da ni bilo potrebnega 24 urnega fizičnega varovanja (velike količine gorljivih materialov) in so zaradi izostanka take nujne preventive nastali obsežni strupeni požari, pa tega ni storila. Tako je posredno odgovorna za škodljive posledice omenjenih požarov za zdravje prebivalcev, za okolje in za naravo. Morala bi razmisliti o svojem odstopu.
IRENA MAJCEN–ZMAGOVALKA “ČRNE LISTE” AAG ZA LETO 2016
Komisija”ZA IZBIRO NAJBOLJ NEEKOLOŠKE OSEBNOSTI LETA” je UO AAG predlagala tri imena,ki si bi zaslužili, da prejmejo ČRNI LIST 2016 na področju ekologije v Sloveniji in sicer:
1) g. Ministra Zdravka Počivalška, ki si je 3. decembra v Sobotni prilogi Dela javno dovolil šokantno uporabo izraza ekoteroristi, s katerim je označil civilno družbo in vladne inštitucije, katerih naloga je skrb za zdravo okolje in varstvo narave,
2) Inšpekcijske službe v Kopru, ki so vedele za 9000 kvadratnih metrov razpadajočega azbesta v industrijskem središču Kopra, katerega lastnik je DUTB, na območju nekdanje tovarne Inde in niso ukrepale. Zaradi dolgoletnega ne- ukrepanja so ogrozili zdravje okoliških prebivalcev.
3) ga. Ireno Majcen Ministrico za okolje in prostor, ki je subjektivno in objektivno odgovorna za predlaganje neekoloških uredb in zakonov Vladi RS.
IZMED PREDLOGOV KOMISIJE JE UPRAVNI ODBOR AAG 31.12.2016, NA SVOJI ZADNJI DOPISNI SEJI V LETU 2016 MED PREDLAGANIMI KANDIDATI, KOT >ZMAGOVALKO ČRNE LISTE AAG ZA 2016< IZBRAL:
ga. IRENO MAJCEN – MINISTRICO ZA OKOLJE IN PROSTOR

– OBRAZLOŽITEV –
V letu 2016 je Ministrstvo za okolje in prostor, ki ga vodi ga. Irena Majcen predlagal vladi RS zakone, uredbe in druga gradiva v obravnavo, ki so bila pripravljena nestrokovno. Ti predlogi MOP, ki ga vodi ga.Irena Majcen so bili pred tem dani v 30 dnevno”kvazi” javno obravnavo, pripombe NVO in javnosti, iz teh javnih obravnav pa MOP ni upošteval in je vztrajal, da le prenaša EU direktive v slovensko zakonodajo. Res je, da so posodabljali slovensko zakonodajo, vendar so na primer pri tem prenesli vanjo tudi mejne vrednosti, ki jih določajo EU direktive, čeprav so nekatere dosedanje mejne vrednosti bile po veljavni zakonodaji manjše in so bile za zdravje ljudi, zaščito okolja in narave ugodnejše. Na MOP so pa pri zagovorih, zakaj so to naredili “pozabili” povedati, da so lahko nacionalne zakonodaje strožje od evropskih.
Pri spremenjeni zakonodaji o Varstvu okolja odpravlja časovne omejitve veljavnosti OVD, po zdaj veljavnih določilih časovno omejeno na deset let. To pomeni, da bodo onesnaževalci okolja, zastrupljali naravo in ljudi brez obvezne ponovne potrditve OVD. Na MOP se sicer izgovarjajo na kontrolo s strani inšpekcijskih služb, ki pa že sedaj, ne odigrajo svoje vloge. Po drugi strani pa so s tem omejili javnost, da bi se vključila v postopke pridobivanja OVD, kar pomeni da MOP želi zmanjšati vpliv civilne družbe in NVO na tem področju in zaščititi “UMAZANO INDUSTRIJO”.
Iz zgoraj navedenega je razvidno, da Ministrstvo za okolje in prostor, ki ga vodi ga.Irena Majcen deluje za zaščito umazane industrije, ne-odpravljanja “starih grehov”, ščiti neučinkovitosti inšpekcijskih služb,… vse, da bi povečala gospodarsko rast ne glede, da z temi ukrepi ogroža zdravje ljudi ter povečevanja uničevanje narave in okolja.
Da bi zaščitili zdravje ljudi, še posebno najmlajših ter okolje in naravo smo tudi v AAG podali številne pripombe na osnutke uredb in zakonov, katere podpisnica je bila ga.Irena Majcen vendar naše pripombe, kot pripombe večine NVO, strokovne javnosti in javnosti niso bile upoštevane.
Vse pripombe AAG so dostopne širši javnosti na spodnjih povezavah.
Predsednik Alpe Adria Green:
Vojko Bernard
Povezave:
AAG podal pripombe na osnutka Zakona o urejanju prostora (ZUreP-2) in Gradbenega zakona (GZ)
AAG na MOP poslala pripombe na osnutek Pravilnika o monitoringu stanja tal
AAG poslal na MOP “Pripombe na osnutek Uredbe o stanju tal”
Stališča in pripombe AAG na Osnutek Uredbe o spremembah Uredbe o mejnih vrednostih kazalcev hrupa v okolju
SPREMEMBE ZAKONA O VARSTVU OKOLJA – MOP ZAVRNIL SKORAJ VSE PRIPOMBE NEVLADNIH ORGANIZACIJ
Pripombe in predlogi AAG na osnutek Zakona o urejanju prostora
PRIPOMBE AAG na osnutek Operativnega programa ravnanja z odpadki in Programa preprečevanja odpadkov v RS
ČRNA LISTA AAG -2015
KOMISIJA PRI UO AAG, SE JE 31.12.2015 S POMOČJO JAVNEGA GLASOVANJU, KI JE POTEKALO OD 04.12.2015 DO 20.12.2015 IN MNENJ ČLANOV KOMISIJE ODLOČILA, DA PREJME
“ČRNI LIST” ZA LETO 2015:
VLADA RS, KI JE 28.05.2015 SPREJELA UREDBO O ODPADKIH, KI KRŠI 72. ČLEN USTAVE RS
OBRAZLOŽITEV:
V AAG smo konec maja 2015 na vlado RS poslali zahtevo za umik »predloga uredbe o odpadkih« iz obravnave na vladi RS
Na spletni strani vlade RS je vlada 20.05.2014 objavila predlog Uredbe o odpadkih predlagatelja Ministrstva za okolje in prostor, ki krši 72 člen ustave RS, ki pravi da ima vsakdo v skladu z zakonom pravico do zdravega življenjskega okolja.
V skladu z dosedanjo Uredbo o odpadkih (Ur.L. RS 103/11) je odpadek nevaren, če izkazuje eno od nevarnih lastnosti iz Priloge l-. Kot ena od nevarnih lastnosti je tudi H15 (odpadki, ki lahko po odstranitvi kakorkoli tvorijo drugo snov, na primer izlužek, ki ima katerokoli zgoraj navedeno lastnost). V tej uredbi so določene nato mejne vrednosti za posamezne snovi v odpadku in v izlužku. Gre za nacionalna merila za katera se država lahko odloči in na ta način zagotoviti višjo raven varstva okolja in zdravja ljudi.
Obstoječa EU zakonodaja mejnih vrednosti za H15 ne predpisuje, dopušča pa, da članice same z nacionalno zakonodajo to uredijo. To je bilo v obstoječi Uredbi o odpadkih in tudi v prejšnjih aktih, ki so pokrivali ravnanje z odpadki določeno.
V novem predlogu uredbe, ki ga predlaga MOP te vrednosti niso več določene in to pa dejansko pomeni, da se je Slovenija odločila, da svojim državljanom ne zagotovi več pogojev za doseganje višje ravni varstva okolja in zdravja ljudi. Predlog uredbe namreč določa, da bodo odpadki, ki so bili do sedaj nevarni zaradi preseganja mejnih vrednosti (izluževanje snovi) postali sedaj nenevarni. Z njimi se bo ravnalo kot z nenevarnimi odpadki, kar vključuje tudi skladiščenje na prostem (izpostavljenost padavinskim vodam!) in druge oblike ravnanja, ki bodo po uveljavitvi nove uredbe dopustni. EU zakonodaja, ki ureja izkazovanje nevarnih lastnosti in je direktno uporabljiva je Uredba 1357/2014/EU (določila HP15)
V AAG se sprašujemo, zakaj se je zakonodajalec po vsem tem času odločil za ukinitev teh kriterijev in ali ni morda podlegel pritiskom firm, ki so imele probleme z ravnanjem z odpadki ravno zaradi izkazovanj te nevarne lastnosti in bi jim taka ureditev izredno ustrezala pri pridobivanju okoljevarstvenih dovoljenj in inšpekcijskih pregledih ne glede da bodo podjetja in posamezniki »zakonito« kršila 72 člen ustave RS.
Ministrstvo za okolje in prostor je ta predlog uredbe pripravilo zelo na hitro brez možnosti za komentarje s strani tudi njegovih strokovnih organov in razprave v širši javnosti.
Zaradi vsega zgoraj navedenega zahtevamo od vlade RS, da takoj umakne predlog uredbe o odpadkih iz obravnave na vladi, ki bi ga po naših informacijah tudi prednostno potrdila!
Zahtevo smo poslali po e-pošti:
- Vlada RS
- Kabinet predsednika vlade
- Ministrica za okolje in prostor (ga) Irena Majcen
- Varuhinja človekovih pravic (ga) Vlasta Nussdorfer
- Mediji





FOTO AAG
VLADA je kljub našim protestom sprejela to uredbo in ŽELI z njo PRIHRANITI SREDSTVA, KI BILA POTREBNA ZA SANACIJO ODLAGALIŠČ IN OMOGOČITI EKOLOŠKO SPORNI INDUSTRIJI IN PODJETJEM NORMALNO DELOVANJE NE GLEDE NA TO, DA BI S TEM OGROZILA ZDRAVJA TER ŽIVLJENJA LJUDI IN UNIČILA NARAVO TER OKOLJE ZA VEČ ČLOVEŠKIH GENERACIJ, zato ji alpe adria green podeljuje:
“ČRNI LIST” za leto 2015 .
Več podrobnosti na povezavi:
KOMISIJA ZA IZBOR IMENA PRVEGA ČETRTLETJA NA ČRNI LISTI ZA LETO 2015 PRI UO ALPE ADRIA GREEN, JE IZBRALA:
Tovarno Lesonit iz Ilirske Bistrice ter člana uprave Lesonita g. Egona Bratoža
V okoljski organizaciji Alpe Adria Green smo letos ponovno opozarjali na čezmerno onesnaževanje tovarne Lesonit s prahom in na neodzivnost inšpekcije. V Lesonitu vse očitke, da niso poskrbeli za ustrezne filtre, zavračajo kot neutemeljene.
Na svoji spletni strani smo objavili galerijo fotografij, kot dokazno gradivo, ki jih je eko patrulja AAG posnela v mesecu februarju v okolici tovarne vlaknenih plošč Lesonit. Prikazujejo posledice izpustov prašnih delcev – lesnih vlaken na stopnicah stanovanjske hiše v Rečici in prah, ki se nabira na avtomobilih.
Fotografije govorijo same zase, toda inšpekcijske službe kljub prijavam občanov o prašenju, gledajo vstran. “Znano je, da lesni prah na pljučih ljudi pusti smrtonosne posledice. Očitno v Lesonitu raje ogrožajo zdravje ljudi, kot da bi kupili filtre. V Sloveniji se pogovarjamo, kako drago je zdravstvo; da pa bi preprečili obolenja, ki so posledica malomarnosti ali varčevanja lastnikov podjetij, pa vladi in ministrom še na misel ne pride!“ smo ogorčeni v AAG, ker že dlje časa opozarjamo na onesnaževanje iz Lesonita.
“Očitek, da nismo poskrbeli za ustrezne filtre, je neutemeljen. Redno izvajamo meritve, ki so pokazale, da je vse v okviru dovoljenih mej. Zadostili smo pogojem inšpekcije,“ zatrjuje Egon Bratož, član uprave Lesonita. Na vprašanje novinarjev, kako odgovarja na fotografije avtomobilov, polnih prahu, pa je odgovoril: “Ne vem, kje so jih našli.”
INŠPEKCIJA: V PREDPISANIH MEJAH
Tudi z okoljske inšpekcije, ki je že pred časom povedala, da je Lesonit prav zaradi stalnih pritožb občanov Ilirske Bistrice in civilnih iniciativ v letnih planih inšpekcije uvrščen v prvo prioriteto, so novinarjem odgovorili, da Lesonit izvaja obratovalni monitoring v skladu s predpisi in da so emisije nižje od predpisanih mejnih vrednosti. Zadnja poročila so sicer iz avgusta in septembra lani. Na odvodih iz sušilnika prve in druge stopnje so bile po pojasnilih inšpekcije emisijske koncentracije snovi – skupnega prahu, TOC (organska onesnaževala, op. p.) in benzena nižje od predpisanih mejnih vrednosti. Enako velja za fenol in formaldehid na odvodu stiskalnice.
V AAG inšpekcijski službi in policiji sicer očitamo tudi ne ukrepanje pri povečanem hrupu iz Lesonita, zato smo ju je konec lanskega leta kazensko ovadili. Inšpekcija je očitke o ne ukrepanju seveda kot vedno zavrnila in se izgovarja, da je zaradi preseganja mejne vrednosti hrupa v nočnem času pred stanovanjskimi objekti na Gubčevi ulici izdala sklep o izvršbi z zagroženo denarno kaznijo 10.000 evrov. To pa je tudi vse kar so naredili, hrup iz Lesonita pa je ostal enak!
Namesto, da bi v Lesonitu sanirali stanje pa napovedujejo tožbo proti AAG, ki da jim s širjenjem neutemeljenih obtožb povzroča škodo. “Tožbo bomo vložili, ko bomo zbrali dovolj gradiva. Izjave in ovadbe ekofanatikov se kopičijo,“ je dejal novinarjem Bratož.
Zaradi vsega zgoraj navedenega se je komisija pri AAG odločila, da tovarno Lesonit in člana uprave g.Egona Bratoža razglasi za ime prvega četrtletja na črni listi za leto 2015
Spodnje slike povedo vse:
FOTO AAG: KOMENTARJI NISO POTREBNI!




NAMENITE 0,5% DOHODNINE, NAMESTO DRŽAVI, ZA PRIHODNOST NAŠIH OTROK!
KOMISIJA ZA IZBOR IMENA DRUGEGA ČETRTLETJA NA ČRNI LISTI ZA LETO 2015 PRI UO ALPE ADRIA GREEN, JE IZBRALA:
VLADO RS, KI JE 28.05.2015 SPREJELA UREDBO O ODPADKIH, KI KRŠI 72. ČLEN USTAVE RS
V AAG smo na vlado RS poslali zahtevo za umik »predloga uredbe o odpadkih« iz obravnave na vladi RS
Na spletni strani vlade RS je vlada 20.05.2014 objavila predlog Uredbe o odpadkih predlagatelja Ministrstva za okolje in prostor, ki krši 72 člen ustave RS, ki pravi da ima vsakdo v skladu z zakonom pravico do zdravega življenjskega okolja.
V skladu z dosedanjo Uredbo o odpadkih (Ur.L. RS 103/11) je odpadek nevaren, če izkazuje eno od nevarnih lastnosti iz Priloge l-. Kot ena od nevarnih lastnosti je tudi H15 (odpadki, ki lahko po odstranitvi kakorkoli tvorijo drugo snov, na primer izlužek, ki ima katerokoli zgoraj navedeno lastnost). V tej uredbi so določene nato mejne vrednosti za posamezne snovi v odpadku in v izlužku. Gre za nacionalna merila za katera se država lahko odloči in na ta način zagotoviti višjo raven varstva okolja in zdravja ljudi.
Obstoječa EU zakonodaja mejnih vrednosti za H15 ne predpisuje, dopušča pa, da članice same z nacionalno zakonodajo to uredijo. To je bilo v obstoječi Uredbi o odpadkih in tudi v prejšnjih aktih, ki so pokrivali ravnanje z odpadki določeno.
V novem predlogu uredbe, ki ga predlaga MOP te vrednosti niso več določene in to pa dejansko pomeni, da se je Slovenija odločila, da svojim državljanom ne zagotovi več pogojev za doseganje višje ravni varstva okolja in zdravja ljudi. Predlog uredbe namreč določa, da bodo odpadki, ki so bili do sedaj nevarni zaradi preseganja mejnih vrednosti (izluževanje snovi) postali sedaj nenevarni. Z njimi se bo ravnalo kot z nenevarnimi odpadki, kar vključuje tudi skladiščenje na prostem (izpostavljenost padavinskim vodam!) in druge oblike ravnanja, ki bodo po uveljavitvi nove uredbe dopustni. EU zakonodaja, ki ureja izkazovanje nevarnih lastnosti in je direktno uporabljiva je Uredba 1357/2014/EU (določila HP15)
V AAG se sprašujemo, zakaj se je zakonodajalec po vsem tem času odločil za ukinitev teh kriterijev in ali ni morda podlegel pritiskom firm, ki so imele probleme z ravnanjem z odpadki ravno zaradi izkazovanj te nevarne lastnosti in bi jim taka ureditev izredno ustrezala pri pridobivanju okoljevarstvenih dovoljenj in inšpekcijskih pregledih ne glede da bodo podjetja in posamezniki »zakonito« kršila 72 člen ustave RS.
Ministrstvo za okolje in prostor je ta predlog uredbe pripravilo zelo na hitro brez možnosti za komentarje s strani tudi njegovih strokovnih organov in razprave v širši javnosti.
Zaradi vsega zgoraj navedenega zahtevamo od vlade RS, da takoj umakne predlog uredbe o odpadkih iz obravnave na vladi, ki bi ga po naših informacijah tudi prednostno potrdila!
Poslano po e-pošti:
- Vlada RS
- Kabinet predsednika vlade
- Ministrica za okolje in prostor (ga) Irena Majcen
- Varuhinja človekovih pravic (ga) Vlasta Nussdorfer
- Mediji



FOTO AAG
VLADA ŽELI S TO UREDBO PRIHRANITI SREDSTVA, KI BILA POTREBNA ZA SANACIJO ODLAGALIŠČ IN OMOGOČITI EKOLOŠKO SPORNI INDUSTRIJI IN PODJETJEM NORMALNO DELOVANJE NE GLEDE NA TO, DA BI S TEM OGROZILA ZDRAVJA TER ŽIVLJENJA LJUDI IN UNIČILA NARAVO IN OKOLJE ZA VEČ ČLOVEŠKIH GENERACIJ.
V OSNUTKU UREDBE O ODPADKIH SO BILE MEJNE VREDNOSTI H15 NAVEDENE V PREDLOGU PA SO IZGINILE! – HTTP://WWW.MKGP.GOV.SI/SI/MEDIJSKO_SREDISCE/NOVICA/ARTICLE/12455/7467/F7C20ED7A4B8BD08778C766C91E35E8C/
Odpadek ima lastnost H15, če vrednosti parametrov odpadka presegajo te vrednosti:
živo srebro 20 mg/kg suhe snovi11.
arzen2, 3 5.000 mg/kg suhe snovi
svinec2, 3 1 0.000 mg/kg suhe snovi
kadmij2, 3 5.000 mg/kg suhe snovi
PAO 100 mg/kg suhe snovi
PCB 100 mg/kg suhe snovi
PCDD/PCDF 10.000 ng TE/kg suhe snovi4
POX 1.000 mg/kg suhe snovi
celotni ogljikovodiki 20.000 mg/kg suhe snovi5
BTX 500 mg/kg suhe snovi
fenoli 10.000 mg/kg suhe snovi
1 Za utrjene odpadke, ki vsebujejo težko topne sulfide, je mejna vrednost 3.000 mg/kg suhe snovi.
2 Ne velja za zastekljene odpadke.
3 Ne velja za obstojne zlitine.
4 TE po predpisu, ki ureja emisijo snovi v zrak iz sežigalnic in pri sosežigu odpadkov.
5 Ne velja za asfalt in bitumen.
2. Odpadek ima lastnost H15, če vrednosti parametrov izlužka ali pri tekočih odpadkih vsebnosti v odpadku presegajo te vrednosti:
sušilni ostanek 10.000 mg/l1
vrednost pH 6–132
antimon 5 mg/l
arzen 5 mg/l
baker 10 mg/l
barij 50 mg/l
berilij 0,5 mg/l
bor 100 mg/l
cink 100 mg/l
kadmij 0,5 mg/l
kobalt 10 mg/l
kositer 100 mg/l
celotni krom 50 mg/l
krom – šestvalentni 2 mg/l
nikelj 50 mg/l
vsota selena in telurja 5 mg/l
srebro 5 mg/l
svinec 10 mg/l
talij 2 mg/l
vanadij 20 mg/l
živo srebro 0,05 mg/l
amonijev dušik 1.000 mg/l
nitritni dušik 30 mg/l
celotni cianid 20 mg/l
cianid – prosti 2 mg/l
sulfid 20 mg/l
fluorid 50 mg/l
celotni ogljikovodiki 100 mg/l3, 4
PAO 0,05 mg/l4
AOX 10 mg/l
fenoli 100 mg/l
1 Vrednost za tekoče odpadke je 30.000 mg/l.
2 Vrednost za tekoče odpadke je 2–11.5.
3 Za tla, ki so onesnažena z oljem, in odpadke pri pridobivanju nafte je vrednost v izlužku 5 mg/l.
4 Centrifugiran izlužek.
Opombe:
- Pripis nevarnih lastnosti strupeno (in zelo strupeno), škodljivo, jedko, dražilno, rakotvorno, strupeno za razmnoževanje, mutageno in ekotoksično temelji na merilih, določenih v Prilogi VI k Direktivi Sveta 67/548/EGS z dne 27. junija 1967 o približevanju zakonov in drugih predpisov v zvezi z razvrščanjem, pakiranjem in označevanjem nevarnih snovi (UL L 196, 16. 8. 1967, str. 1), kot to določa predpis, ki ureja razvrščanje, pakiranje in označevanje nevarnih snovi.
- Kadar je to ustrezno, se uporabljajo mejne vrednosti iz Prilog II in III k Direktivi 1999/45/ES Evropskega parlamenta in Sveta z dne 31. maja 1999 o približevanju zakonov in drugih predpisov držav članic v zvezi z razvrščanjem, pakiranjem in označevanjem nevarnih pripravkov (UL L 200, 30. 7. 1999, str. 1), kot to določa predpis, ki ureja razvrščanje, pakiranje in označevanje nevarnih snovi.
Preizkusne metode
Metode, ki jih je treba uporabiti, so opisane v Prilogi V k Direktivi Sveta 67/548/EGS, kot to določa predpis, ki ureja razvrščanje, pakiranje in označevanje nevarnih snovi, in v drugih ustreznih opombah CEN.
NAMENITE 0,5% DOHODNINE, NAMESTO DRŽAVI, ZA PRIHODNOST NAŠIH OTROK!
KOMISIJA ZA IZBOR IMENA TRETJEGA ČETRTLETJA NA ČRNI LISTI ZA LETO 2015 PRI UO ALPE ADRIA GREEN, JE IZBRALA:
MINISTRICO ZA OKOLJE IN PROSTOR GA.IRENO MAJCEN

Irena Majcen
V Alpe Adria Green, mednarodna organizacija za zaščito okolja in narave smo zahtevali odstop Ministrice za okolje in prostor ga.Irene Majcen, zaradi nesposobnosti reševanja okoljske katastrofe v celjski kotlini.
27.07.2015 smo državnim organom RS po e-pošti poslali sklep z zahtevo UO AAG za takojšni odstop Ministrice za okolje in prostor ga.Irene Majcen, zaradi nesposobnosti reševanja okoljske katastrofe v celjski kotlini.
UO AAG je ta sklep sprejel v petek 24.07.2015 na svoji izredni seji, zaradi netočnih-zmedenih izjav Ministrice o parceli nezakonite deponije Bukovžlaku in zagovarjanja nestrokovnih odločitev v zvezi s sanacijo nezakonite deponije v Bukovžlaku na parceli 115/1 k.o. Teharje v oddaji 24. ur zvečer 22.7.2015 (http://www.24ur.com/novice/slovenija/sodba-in-kazni-zdravja-ne-bodo-vrnile.html ) v kateri je Ministrica tudi trdila, da bi ta sanacija najmanj obremenjevala okolje, brez vsake strokovne podlage. Analiza je pred mesecem pokazala, da se koktajl strupov izlužuje v okolje. Naj navedemo samo, da vrednost arzena presega kritično vrednost na mestu odvzema vzorca kjer se pojavljajo izcedki. V sodbi Sodišča EU v Lusemburgu št.: C‑140/14 z dne 16.04.2015 je navedeno, da je EK prepričana o nevarnosti odloženih odpadkov v Bukovžlaku, kar je pokazala strokovna študija IOP Celje, ministrica pa je pred kamerami še kar trdila, da tam ni nevarnih odpadkov.
Ministrica ga. Irena Majcen oz. Ministrstvo za okolje in prostor, bi morala takoj sprejeti ukrepe za preprečitev ogrožanja zdravja na področju stare cinkarne ne glede na to, da je lastnica te parcele MO Celje, saj je že študija iz leta 2006 o onesnaženju stare cinkarne pokazala in vse kasnejše analize še bolj podrobno potrdile katastrofalno onesnaženje okolja. Tukaj so izmerili največje onesnaženje s kadmijem v urbanem področju na svetu (1200 krat čez mejno vrednost 1mg/kg po Uredbi o vnosu težkih kovin v tla) saj je ta lokacija nekaj 100 metrov od centra Celja. Pristojno ministrstvo in drugi odgovorni se vse do danes niso odzvali in niso pristopili k takojšnji sanaciji tega 17 ha velikega področja, kjer je odloženo 1,5 milijona m3 večinoma nevarnih odpadkov. Že za 13600m3 odpadkov, ki so jih sedaj sanirali na tej lokaciji pa je v sodbi sodišča navedeno, da predstavljajo
»…visoko nevarnost za zdravje ljudi in okolje«
V sodbi sodišča je tudi navedeno, da ima onesnaženo področje škodljiv vpliv na podtalnico, Hudinjo, Voglajno in Savinjo in je nujno potrebno preprečiti izluževanje v okolje.
Ministrici ga. Ireni Majcen tudi očitamo ustanovitev komisije za sanacijo celjske kotline, ki je bila namerno ustanovljena preštevilna in ne operativna, s tem pa prestavila reševanje hudih ekoloških problemov tega okolja v nedoločeno prihodnost. Celjska kotlina in njeni prebivalci nujno potrebujejo ukrepe za zmanjšanje tveganja za zdravje prebivalstva.
Na koncu ji očitamo tudi, da je prebivalcem Celjske kotlino protipravno črtala 72. člen Ustave RS., ki med drugim pravi:
Vsakdo ima v skladu z zakonom pravico do zdravega življenjskega okolja.
Država skrbi za zdravo življenjsko okolje.
S tem smo smatrali, da je naša zahteva utemeljena in smo pričakovali od ministrice, da sama poda odstop ali pa jo razreši predsednik vlade RS g.Miro Cerar, vendar se ni zgodilo NIČ!
NAMENITE 0,5% DOHODNINE, NAMESTO DRŽAVI, ZA PRIHODNOST NAŠIH OTROK!
KOMISIJA ZA IZBOR IMENA ČETRTEGA ČETRTLETJA NA ČRNI LISTI ZA LETO 2015 PRI UO ALPE ADRIA GREEN, JE IZBRALA:
ODGOVORNE V RS ZARADI NEIZVAJANJA ČEZMEJNIH MERITEV ŠKEDENJSKE ŽELEZARNE

Škedenjska železarna je dolgoletna onesnaževalka zraka na Tržaškem.
Škedenjska železarna je glavna onesnaževalka na Tržaškem; izpusti so nad mejo dovoljenih, v njih so našli tudi kancerogene snovi. Mnogi so prepričani, da onesnaževanje železarne sega tudi na slovensko stran, a uradnih dokazov za to ni. Problem je tudi v tem, da pri nas kakovosti zraka na hribu tik ob slovensko-italijanski meji ne merijo več. Zadnje uradne meritve so stare več kot sedem let.
ISTRA, TRST > Agencija za okolje je najprej leta 2004 z mobilno postajo merila kakovost zraka v Hrvatinih, leta 2007 in 2008 pa še v Lovranu, prav z namenom preveriti vpliv emisij z območja Trsta na slovensko ozemlje. Hrvatinska postaja je bila 4,5 kilometra zračne linije od škedenjske železarne, Lovranska pa 3,5 kilometra. “Meritve so pokazale, da je koncentracija onesnaževal relativno nizka, da pa so na tem območju najvišje koncentracije ozona v Sloveniji,” so spomnili na okoljskem ministrstvu. Tudi sedanja stalna merilna postaja, postavljena v Kopru, zaznava povišano koncentracijo ozona, druge snovi, ki jih tam merijo, pa so pod mejnimi vrednostmi.
NI DOKAZOV, DA JE VPLIV ČEZMEJEN
Železarna Škedenj je velik vir onesnaževanja, vendar ni edini na tem prostoru; v bližini so še cementarna, sežigalnica komunalnih odpadkov in veliko skladišče naftnih derivatov in gotovo tudi manjši viri, nenazadnje je tudi gost promet v tem delu Trsta vir dušikovih oksidov in ogljikovodikov, so našteli na našem ministrstvu. V zvezi z železarno Škedenj tako pri nas ne vodijo nobenega postopka, niti ni v proceduri čezmejni postopek. Tako je ministrica za okolje Irena Majcen na seji DZ odgovorila koprskemu poslancu Združene levice Mateju Tašnerju Vatovcu, ki je zaradi alarmantnih podatkov italijanske agencije za okolje vprašal, ali se Slovenija sploh ukvarja s tem problemom. Poslanec predlaga, da bi naša agencija za okolje naredila urgentni monitoring, glede na to, da so meritve tako stare. Franc Malečkar, koprski okoljevarstvenik, član mreže Alpe Adria Green, pa je glede omenjenih starih meritev, pred nedavnim spomnil: “Že res, da so bile meritve v Kolombanu v mejah normale. A Kolomban je podeželsko in prepihano območje, rezultati, denimo žveplovega dioksida, so bili podobni kot v Celju.”
OBČINA TRST: ZMANJŠANJE PROIZVODNJE
Škedenjska železarna prekomerno onesnažuje, so pokazale tudi najnovejše meritve izpustov italijanske agencije za okolje. Novi lastnik železarne, družba Arvedi, ni uspel držati zaveze, ki jo je dal tržaški občini, da bo izpuste prašnih delcev (tako imenovanih delcev PM10) in drugega onesnaževanja zmanjšal pod dovoljene meje. Zato je tržaška občina pred nekaj dnevi odredila, naj železarna takoj zmanjša proizvodnjo litega železa oziroma delovanje koksarne na 34.000 ton koksa na mesec, enako kot je od železarne že aprila zahteval tudi vrh dežele Furlanije Julijske krajine.
Okoliški prebivalci so nad občino razočarani, ukrep ne bo zmanjšal onesnaževanja, so prepričani. S svojih balkonov in z dvorišč že leta vsak dan pometajo črn prah. Analize izpustov, ki jih je pripravil inštitut Nanodiagnostics, pa so pokazale, da delci iz izpustov železarne vsebujejo rakotvorne snovi v velikih koncentracijah. Študije kažejo tudi, da je na Tržaškem nadpovprečno veliko respiratornih in rakastih obolenj. Prebivalci Škednja zahtevajo študijo, ki bo raziskala povezavo železarne in obolevnost prebivalcev.
NAMENITE 0,5% DOHODNINE, NAMESTO DRŽAVI, ZA PRIHODNOST NAŠIH OTROK!

ČRNA LISTA AAG -2014
Komisija pri UO AAG, je 02.01.2015 po pregledu dokumentacije o javnem glasovanju, ki je potekalo od 17.12.2014 do 31.12.2014, le tega potrdila in razglaša naslednje rezultate:
Preko e-glasovnic je bilo prejeto 291 odgovorov
REZULTATI:
1 Mesto: Cinkarna in Mestna občina Celje 131 glasov
2 Mesto: VZDRŽEVALNA DELA V TNP NA DALJNOVODU Jesenice – Kr. Gora – Elektro Gorenjska 108 glasov
3 Mesto: Podjetje Ekorel iz Kranja iz Laz v Stražišču 47 glasov
4 Mesto: DEPONIJA ODPADNEGA MATERIALA IN POSTAVITEV ASFALTNE BAZE V Peskokopu Črna pri Kamniku 5 glasov
OBRAZLOŽITEV:
Prvo mesto na “Črni listi” 2014 si delita:
CINKARNA CELJE (odg. oseba Tomaž Benčina, generalni direktor)
in MESTNA OBČINA CELJE (odg. oseba Bojan Šrot, župan)
V začetku decembra 2014 je namreč iz cinkarniške omare padel še en okoljski okostnjak: poljsko podjetje Environ je z vrsto analiz odkrilo, da Cinkarna stoji v območju strupenih odpadkov. Potrdili pa so tudi visoke koncentracije težkih kovin v podtalnici pod odlagališčem titanove sadre v Bukožlaku. Kot se v članku z naslovom ”Tudi ”nova” cinkarna je ekološka bomba” Dnevnik (6.12.2014) sprašuje: zakaj vpliv težkih kovin z območja sedanje cinkarne na zdravje ljudi več let ni zanimal nikogar.
Že pred tem odkritjem so civilne iniciative prebivalcev opozarjale na presežene vrednosti najbolj strupenega kadmija in drugih težkih kovin na več mestih v celjski kotlini. Nekatere analize v tujini so plačali kar iz svojega žepa.
Župan in mestni svet sta mirno odobravala gradnje velikih stavb na področju nevarnih odpadkov stare cinkarne: Tehnopolis (celo s prispevkom evropskih sredstev) pa Harvey Norman in Tuš, v načrtih pa so bile tudi zgradbe za študente. Kam so zmetali strupeno zemljo od izkopa gradbenih jam, ne vedo ali nočejo povedati. To bi moralo biti določeno pri sprejemanju takih gradenj. Pri tem je župan zagovarjal tudi izvedbo kanalizacije ravno čez področje nevarnih odpadkov in tako omogočil dodatno prašenje z vsebnostjo težkih kovin, tudi najbolj strupenega kadmija, ki se nalaga v telesu, je rakotvoren in sproža težko bolezen čez nekaj let.
Cinkarna Celje in Mestna občina Celje ignorirata občasne rdeče strupene (po analizah, vključno s kadmijem) padavine, to je prah, ki ga dež izpere iz zraka (Slika 2). To pomeni, da prebivalci tak zrak dihajo, delci pa so tako drobni, da se ne vidijo in vsi mislijo, kako čist zrak imajo. Nam ni znano, da bi se to dogajalo še v kakšnem evropskem mestu. Župan pa nič. Rdeče oborine so se pojavile tudi v kraju Marija-Dobje, slabih 5 km stran od cinkarne. Prav tako obeh ne zanima zakaj se na okenskih policah in na strehah nabira strupen (vključno s kadmijem) prah, kar so pokazale analize. Odgovorni pa nič.
Šele prizadevanje civilnih iniciativ, to je neformalno organiziranih prebivalcev, ki so neukrepanje spravili do evropskih organov, je prisililo župana in občino, da sta se lotila ukrepov na sicer zelo majhnem delu strupenih odpadkov. Velika večina nevarnih odpadkov pa še čaka. O onesnaženosti celjske kotline je bilo tudi več televizijskih oddaj. Vendar bo, upajmo, šele evropsko sodišče prisililo oba akterja k ukrepanju.
Slika 1: Stara Cinkarna

Slika 2: Rdečkast nočni dim iz nove cinkarne.
Predsednik Alpe Adria Green:
Vojko Bernard
Povezava :
POROČILO O SKRBNEM OKOLJSKEM PREGLEDU LOKACIJ CINKARNE CELJE –https://alpeadriagreen.wordpress.com/2014/12/05/porocilo-o-skrbnem-okoljskem-pregledu-lokacij-cinkarne-celje/
Komisija za izbor imena prvega četrtletja na črni listi za leto 2014 pri UO Alpe Adria Green, je izbrala:
podjetje Ekorel iz Kranja iz Laz v Stražišču.
Vpliv naprave in zbirališča nevarnih odpadkov Ekorel d.o.o., povzroča preveliko spremembo naravne in bivalne vrednote okoliških prebivalcev in jih celo zdravstveno ogroža. Zbirna mesta za odpadni material te naprave imajo neposredni in daljinski vpliv na okolje ter na njegove sestavine: tekoče vode, rastline, živali in ljudi. Negativen vpliv zbirališča naprave Ekorel se pokaže v onesnaženosti struge potoka Žabnica, v katerem so ribe, raki, dvoživke in druge živali ter vpliv na ostale živalske vrste in uničevanje ekosistemov na celotnem vodo-zbirnem območju Kranja in Ljubljane, kamor se sedaj in bi se v prihodnjem iztekali morebitni izpusti iz naprave in zbirališča nevarnih odpadkov. Potok Žabnica je meja območja Natura 2000 in je tudi življenjski prostorkoščaka in kačjega pastirja, ki sta tam kvalifikacijski vrsti in sta zaradi stanja v potoku postala ogrožena vrsta s tem pa je ogrožena tudi N2000 na tem področju. Ogrožene so tako površinske vode in podtalnice, živali kot tudi rastline na področju do koder sega negativen vpliv iz omenjene naprave. AAG smatra, da zbirališče odpadnih strupov že negativno vpliva na zdravje ljudi, ki živijo v bližini območij iztoka izcednih voda. Prebivalci na tem območju to vodo uporabljajo za razne namene, prav tako to vodo pijejo živali. Po enakem principu delujejo tudi drugi vplivi na okolje, njihovi vplivi so vedno tudi daljinski in niso omejeni zgolj na ozko območje zbirališča odpadkov in naprave. V okolici je zaznati povečanje števila muh, miši, podgan in golobov, ki so znani prenašalci bolezni. Na tem območju se pojavlja tudi smrad. Smatramo, da ta izhaja iz smrdečih tekočin, ki se nahajajo na zbirališču naprave, karvplivala na kakovost zraka. Specifikacije vhodnih surovin, ki se predelujejo v napravi nismo zasledili v nobenem dokumentu. Vpliv na zdravje ljudi na tem območju s stališča prenosa bolezni ni raziskan. Na zdravje ljudi vpliva tudi onesnažen potok, ki se napaja z odpadno izcedno vodo. Ta izcedna voda se izteka v nadzemne vode in pronica v podtalnico tudi iz drugih virov, saj na tem področju ni urejena kanalizacija.
Presednik Alpe Adria Green: Vojko Bernard


Komisija za izbor imena drugega četrtletja na črni listi za leto 2014 pri UO Alpe Adria Green, je izbrala:
DEPONIJA ODPADNEGA MATERIALA IN POSTAVITEV ASFALTNE BAZE V Peskokopu Črna pri Kamniku
V peskokopu Črna se nelegalno deponira odpadni material in odpadke ter gradi asfaltna baza. Aktivnosti, ki se odvijajo v okviru firm Peskokop Črna, pridobivanje gramoza in peska, d.o.o., Calcit, proizvodnja kalcitnih polnil, d.o.o. ter KG Asfalti d.o.o, kršijo slovensko zakonodajo. Peskokop Črna ne obratuje v skladu z Zakonom o rudarstvu. Brez ustreznih dovoljenj v peskokopu poteka postavitev asfaltne baze in nastaja deponija odpadnega materiala.
Na nepravilnosti v peskokopu so bili večkrat obveščene inšpekcije. Pisne prijave o aktivnostih v peskokopu Črna smo posredovali gradbeni ter rudarski inšpekciji, inšpekciji za kmetijstvo in okolje, inšpekciji za okolje in naravo in lastnikom. Odziva na kršitve zakonodaje in gradnjo asfaltne baze ni bilo.
Asfaltna baza na tem območju bo močno zaznamovala in vplivala na okolje ter degradirala celotno dolino Črne, ki leži na pragu Kamniško-Savinjskih Alp, ki so predlagane v evropsko mrežo varovanih območij Natura 2000. Zaradi dejavnosti v asfaltni bazi se bo povečal tovorni promet, izpusti v zrak, tla, hrup… Vrednost nepremičnin bo padla, onesnaženo in razvrednoteno bo naravno okolje in posledično kmetovanje, onemogočeno bo čebelarjenje. Dovoz odpadnega materiala in odpadkov povzroča onesnaženje tal in voda. V neposredni bližini peskokopa teče potok Črna, naravna vrednota lokalnega pomena s posebnim varstvenim režimom. Na območju vodotoka ni dovoljeno poseganje v vegetacijo in deponiranje kakršnegakoli materiala ob in v vodotok.


Aktualne aktivnosti v peskokopu Črna pri Kamniku ogrožajo življenje in zdravje prebivalcev in negativno vplivajo tudi na širše okolje.
Prebivalcem Črna pri Kamniku je kršena pravica po 72. členu Ustave Republike Slovenije, pravica do zdravega življenskega okolja, ki jo je z zakonom dolžna zagotoviti država.
Glede na kršenje zakonodaje zahtevamo prenehanje aktivnosti postavitve asfaltne baze, odstranitev deponiranega odpadnega materiala, zaprtje peskokopa, takojšnje prenehanje dovažanja odpadnega materiala v peskokop in sanacijo le tega kot tudi trajno prepoved rudarskih del in ustavitev postopka prenosa rudarske pravice .

Komisija za izbor imena tretjega četrtletja na ČRNI LISTI za leto 2014 pri OU Alpe Adria Green, je izbrala:
Zaradi nezakonitega ravnanja pri posegu v naravo in v zavarovano naravno ter kulturno dediščino na območju Triglavskega narodnega parka je AAG umestila na ČRNO LISTO 2014 nezakonit poseg v TNP pod naslovom:
»VZDRŽEVALNA DELA NA DALJNOVODU
35 kV Jesenice – Kranjska Gora«
,
ki jih izvaja ELEKTRO GORENJSKA, podjetje za distribucijo električne energije, d.d., Kranj.
»Vzdrževalna dela« na daljnovodu 35 kV Jesenice – Kranjska Gora, ki jih namerava izvesti oziroma jih izvaja Elektro Gorenjska, pri čemer se sklicuje na Uredbo o vzdrževalnih delih v javno korist na področju energetike(Uradni list RS, št. 125/04, 71/09, 22/10 – EZ-D in 17/14 – EZ-1) zajemajo širitev koridorja trase daljnovoda in zamenjavo lesenih drogovnikov z novimi in višjimi, na betonskih temeljih, poligonalnimi stebri, ki imajo spremenjene tehnične značilnosti kot prvotni konstrukcijski elementi daljnovoda, zamenjavo tokovodnikov ter obesnega in izolacijskega materiala, kar bo povečalo zmogljivost obstoječega objekta, saj bodo nove konstrukcije omogočale obratovanje na 110 kV visokem napetostnem nivoju.

Poseg je bil načrtovan na zemljiščih z naslednim naravovarstvenim in kulturnovartvenim statusom:
- drugo, tretje varstveno območje zavarovanega območja TNP (ZTNP-1 – Ur. l. RS, št. 52/10)
- ožje zavarovano območje – naravni spomenik Gorska skupina Martuljek (ZTNP-1 – Ur. l. RS, št. 52/10)
- posebno varstveno območje Julijske Alpe – Triglav (SPA – koda SI5000019), ki je določeno z Uredbo o posebnih varstvenih območjih – Natura 2000 (Ur. l. RS, št. 49/04, 110/04, 59/07, 43/08 in 8/12)
- posebno ohranitveno območje Julijske Alpe (SCI – SI3000253), ki je določeno z Uredbo o posebnih varstvenih območjih – Natura 2000 (Ur. l. RS, št. 49/04, 110/04, 59/07, 43/08 in 8/12)
- ekološko pomembno območje Sava Dolinka od Zelencev do Hrušice (ID 26800), Karavanke (ID 21300), Julijske Alpe (ID 21100), ki je določeno z Uredbo o ekološko pomembnih območjih (Ur. l. RS, št. 48/04)
- na naravnih vrednotah: 268 Levi povirni krak Save s pritoki od izlivov do sotočja s Savo Bohinjko pri Radovljici (hidr, geomorf, zool), 587 Gorski potok s koriti, sotesko in slapovi pri Gozd Martuljku; desni pritok Save Dolinke (geomorf, hidr), 3681 Potok Belca s pritoki v Karavankah, levi pritok Save Dolinke (geomorf, hidr), 838 Soteska potoka Mlinca v Karavankah, vzhodno od Dovjega (geomorf, hidr) določene s Pravilnikom o določitvi in varstvu naravnih vrednot (Ur. l. RS, št. 111/04, 70/06, 58/09 in 93/10) in
- območje kompleksnega varstva kulturne dediščine: Julijske Alpe – Triglavski narodni park (EŠD 7593 v registru nepremične kulturne dediščine – Ur. l. RS, št. 25/02), ki se varuje kot integralna dediščina (kulturna krajina)

Na podlagi 30. člena Zakona o TNP (ZTNP-1, Ur. l. RS, št. 52/2010) je za izvajanje posegov v prostor in gradnjo objektov v narodnem parku potrebno pridobiti naravovarstvene pogoje in naravovarstvena soglasja po predpisih, ki urejajo ohranjanje narave, in kulturnovarstvene pogoje in kulturnovarstvena soglasja po predpisih, ki urejajo varstvo kulturne dediščine, razen če ta zakon ne določa drugače. V postopku izdaje naravovarstvenega soglasja je treba preveriti tudi, če ravnanja, posegi ali dejavnosti lahko ogrozijo namene in cilje narodnega parka skladno s prvim odstavkom 14. člena tega zakona, in če so bila upoštevana obvezna pravila ravnanja iz 23. člena tega zakona. Za izdajo naravovarstvenega soglasja po tem odstavku se smiselno uporabljajo določbe 105.a člena Zakona o ohranjanju narave (ZON, Ur. l. RS, št. 96/04 – uradno prečiščeno besedilo, 61/06 – ZDru-1 in 8/10 – ZSKZ-B). Z naravovarstvenim soglasjem se tudi preveri skladnost nameravanega posega in gradenj z določbami zakona o TNP (ZTNP-1, Ur. l. RS, št. 52/2010).
Za nameravani poseg – vzdrževalna dela na območju z naravovarstvenim statusom na trasi daljnovoda 35 kV Jesenice – Kranjska Gora je bilo pripravljeno mnenje Zavoda RS za varstvo narave, OE Kranj z dne 30.1.2012 in mnenje upravljavca zavarovanega območja javnega zavoda Triglavski narodni park z dne 20.1.2012. V mnenju upravljavca Javnega zavoda Triglavski narodni park so navedeni številni argumenti, ki z vidika varstva in ohranjanja narave in naravnih vrednot ne dovoljujejo nameravanega posega na tem delu Triglavskega narodnega parka, poleg tega pa v mnenju upravljavec TNP izrecno navede tudi člene s katerimi je taka gradnja prepovedana (ZTNP-1 – 15. člen, 1. odstavek, 1. točka in 9. točka ter 17. člen, 1. odstavek, 10. točka, nadalje tudi 23. člen, 1. in 2. odstavek). Čeprav so za to obstojale vse podlage v Zakonu o TNP in v drugih predpisih o varstvu narave in naravnih vrednot, žal Javni zavod TNP ni jasno izrazil negativnega mnenja v zvezi z nameravanimi vzdrževalnimi deli na predmetnem daljnovodu.
ARSO na podlagi Uredbe o organih v sestavi ministrstev in Zakona o ohranjanju narave in na podlagi posredovanih mnenj dne 7.3.2012, izda Elektro Gorenjski naravovarstvene pogoje za nameravana vzdrževalna dela na predmetnem 35 kV daljnovodu v k.o. Kranjska Gora, k.o. Gozd, k.o. Dovje v občini Kranjska Gora. Na podlagi Naravovarstvenih pogojev so dela na predmetnem daljnovodu možna pod naslednjimi pogoji: možna je le zamenjava stebrov na obstoječih lokacijah, uporablja se le obstoječe poti. Širitve in gradnje novih dostopnih poti niso sprejemljive. Zaradi vzdrževanja v obstoječem koridorju daljnovoda, naj se izvede najnujnejša sečnja drevesne vegetacije, grmovne vegetacije in nižje drevesne vegetacije naj se ne odstranjuje. Koridor od daljnovodu ostaja enak. Na negozdnih površinah znotraj območja Natura 2000 naj se ohranja vse strukture lesne vegetacije (grmovje, omejki, koridorji lesne vegetacije, gozdni otoki). V obstoječem koridorju daljnovoda je sečnja drevesne vegetacije dopustna le na mestu temeljenja v površini 37 m2 za steber; grmovne vegetacije in nižje drevesne vegetacije se ne odstranjuje. Po končanih delih naj trasa daljnovoda ostane v travnih oz. delno poraščenih površinah (grmičevje, nižje drevje); odstranjuje naj se le drevesno vegetacijo, ki bi potencialno pomenila grožnjo za tokovodnik, …
ARSO nato posreduje Javnemu zavodu TNP v pregled PZI – projekt Elektra Gorenjske (april 2012), ter ga zaprosi za mnenje. Javni zavod TNP je v svojem dokumentu: Mnenje upravljavca z dne 25.5.2014, ponovno navede izražene pomisleke glede posega (»zgolj do pogojno sprejemljive, najmanj ustrezne možnosti«). Glede načrtovanih del s hkratnim nadvišanjem stebrov navede tudi člene iz Zakona o TNP, ki izrecno prepovedujejo tak poseg. Zavod v mnenju opozori na prehod obratovanja na 110 kV visokonapetostni nivo ter, da načrtovana izvedba del dolgoročno ne nudi nikakršne možnosti, da bi se daljnovod umaknil iz TNP ali vkopal. Jasno izraženega mnenja zavod TNP ne poda.
ARSO na podlagi vseh prejetih mnenj in dokumentacije presodi, da bo nameravani poseg majhen poseg v lesno vegetacijo, da koridor daljnovoda na zavarovanih območjih ostaja enak ter za menjavo lesenih stebrov, ki jih bodo nadomestili z novimi poligonalnimi stebri s povečanimi višinskimi gabariti, ki so potrebni zaradi kasnejšega prehoda z DV 35 kV na DV 110 kV dne 30.5.2012, izda NARAVOVARSTVENO SOGLASJE za Vzdrževalna dela na DV 35 kV Jesenice – Kranjska Gora na podlagi PZI za vzdrževalna dela.
Zavod za gozdove Slovenije, OE Bled dne 25.5.2014 izda soglasje za izvajanje posekov znotraj osnovnega koridorja v trasi DV 35 kV Jesenice – Kranjska Gora. Revirni gozdar pristojne Krajevne enote ob prisotnosti lastnika gozda je izvedel označitev drevja za posek. Brez prisotnosti lastnikov gozda označitev drevja za posek ni možna.

Vstop v postopek

Alpe Adria Green je po pregledu prejete dokumentacije, ki se nanaša na vzdrževalna dela DV 35 kV Jesenice – Kranjska Gora in ogledu trase na zavarovanih območjih TNP, kjer potekajo t.i. vzdrževalna dela na predmetnem daljnovodu ugotovila, da s širitvijo gozdne poseke osnovnega koridorja trase daljnovoda niso upoštevani izdani Naravovarstveni pogoji in da gre z rekonstrukcijo objekta in postavitvijo novih, višjih stebrov obstoječega 35 kV daljnovoda za kršitev Zakona o Triglavskem narodnem parku (ZTNP-1). AAG je dne 22.8.2014, zato podala prijavo o nepravilnostih, ki so se nanašale na t.i. vzdrževalna dela na daljnovodu Jesenice – Kranjska Gora na Ministrstvo za kmetijstvo in okolje in Inšpektorat RS za kmetijstvo in okolje.
Zaradi šečnje na trasi daljnovoda v zavarovanih območjih, ki je bila v nasprotju s predpisi je Inšpektorat RS za kmetijstvo in okolje dne 19.8.2014, najprej z ustno odločbo in dne 25.8.2014 še s pisno odločbo prepovedal izvajanje sečnje na zavarovanem območju Natura 2000.
Glede na to, da je bila sečnja v TNP v nasprotju s predpisi, kar je ugotovil tudi Inšpektorat RS za kmetijstvo in okolje, je AAG na PU Kranj, Oddelek za gospodarski kriminal in Okrožno državno tožilstvo v Kranju zoper ELEKTRO GORENJSKA, podjetje za distribucijo električne energije, d.d., Kranj dne 24.9.2014, podala vlogo in naznanila kaznivo dejanje po:
- Obremenjevanje in uničenje okolja po 332. členu KZ-1
- Uničenje gozdov po 340. členu KZ-1
Dne 6.10.2014 je Alpe Adria Green kot nevladna organizacija na področju varstva okolja, ki deluje v javnem interesu, skladno s 1. odstavkom 110.g člena Zakona o varstvu okolja (ZVO-1) pred upravni organ Agencijo RS za okolje vložilaZahtevo za uvedbo postopka za sanacijo okoljske škode in Predlog za priznanje stranskega udelženca v upravnem postopku.

Komisija UO Alpe Adria Green je dne 16. 12. 2014 izbrala ime četrtega četrtletja na ČRNI LISTI 2014.
Mesto na ČRNI LISTI 2014 si delita:
CINKARNA CELJE (odg. oseba Tomaž Benčina, generalni direktor)
in
MESTNA OBČINA CELJE (odg. oseba Bojan Šrot, župan)
V začetku decembra 2014 je namreč iz cinkarniške omare padel še en okoljski okostnjak: poljsko podjetje Environ je z vrsto analiz odkrilo, da Cinkarna stoji v območju strupenih odpadkov. Potrdili pa so tudi visoke koncentracije težkih kovin v podtalnici pod odlagališčem titanove sadre v Bukožlaku. Kot se v članku z naslovom ”Tudi ”nova” cinkarna je ekološka bomba” Dnevnik (6.12.2014) sprašuje: zakaj vpliv težkih kovin z območja sedanje cinkarne na zdravje ljudi več let ni zanimal nikogar.
Že pred tem odkritjem so civilne iniciative prebivalcev opozarjale na presežene vrednosti najbolj strupenega kadmija in drugih težkih kovin na več mestih v celjski kotlini. Nekatere analize v tujini so plačali kar iz svojega žepa.
Župan in mestni svet sta mirno odobravala gradnje velikih stavb na področju nevarnih odpadkov stare cinkarne: Tehnopolis (celo s prispevkom evropskih sredstev) pa Harvey Norman in Tuš, v načrtih pa so bile tudi zgradbe za študente. Kam so zmetali strupeno zemljo od izkopa gradbenih jam, ne vedo ali nočejo povedati. To bi moralo biti določeno pri sprejemanju takih gradenj. Pri tem je župan zagovarjal tudi izvedbo kanalizacije ravno čez področje nevarnih odpadkov in tako omogočil dodatno prašenje z vsebnostjo težkih kovin, tudi najbolj strupenega kadmija, ki se nalaga v telesu, je rakotvoren in sproža težko bolezen čez nekaj let.
Cinkarna Celje in Mestna občina Celje ignorirata občasne rdeče strupene (po analizah, vključno s kadmijem) padavine, to je prah, ki ga dež izpere iz zraka (Slika 2). To pomeni, da prebivalci tak zrak dihajo, delci pa so tako drobni, da se ne vidijo in vsi mislijo, kako čist zrak imajo. Nam ni znano, da bi se to dogajalo še v kakšnem evropskem mestu. Župan pa nič. Rdeče oborine so se pojavile tudi v kraju Marija-Dobje, slabih 5 km stran od cinkarne. Prav tako obeh ne zanima zakaj se na okenskih policah in na strehah nabira strupen (vključno s kadmijem) prah, kar so pokazale analize. Odgovorni pa nič.
Šele prizadevanje civilnih iniciativ, to je neformalno organiziranih prebivalcev, ki so neukrepanje spravili do evropskih organov, je prisililo župana in občino, da sta se lotila ukrepov na sicer zelo majhnem delu strupenih odpadkov. Velika večina nevarnih odpadkov pa še čaka. O onesnaženosti celjske kotline je bilo tudi več televizijskih oddaj. Vendar bo, upajmo, šele evropsko sodišče prisililo oba akterja k ukrepanju.
Slika 1: Stara Cinkarna

Slika 2: Rdečkast nočni dim iz nove cinkarne.
Predsednik Alpe Adria Green: Jesenice: 17.12.2014
Vojko Bernard
Povezava :
POROČILO O SKRBNEM OKOLJSKEM PREGLEDU LOKACIJ CINKARNE CELJE –https://alpeadriagreen.wordpress.com/2014/12/05/porocilo-o-skrbnem-okoljskem-pregledu-lokacij-cinkarne-celje/
ČRNA LISTA AAG -2013

Alpe Adria Green – international org.
Prešernova 26, 4270 Jesenice, Slovenija, EU
IZMED PREDLOGOV KOMISIJE ZA IZBIRO NAJBOLJ NEEKOLOŠKE OSEBNOSTI PRI AAG JE UPRAVNI ODBOR AAG MED ŠTIRIMI PREDLAGANIMI KANDIDATI IZBRAL, KOT ZMAGOVALKO »ČRNE LISTE«
“SMUČARSKO ZVEZO SLOVENIJE”
– OBRAZLOŽITEV –
Smučarska zveza Slovenije se je na črno listo v letu 2013 uvrstila dvakrat:
1) Zaradi svetlobnega onesnaževanja tekaške steze na Rudnem polju na območju Triglavskega narodnega parka, po 20 uri, čeprav je bilo izdano dovoljenje za osvetljevanje proge (prižgane svetilke) samo do 20. ure.
Razsvetljenost tekaške proge se lahko preveri na posnetkih kamere “Športnega centra Pokljuka”! Te kršitve so se dogajale vse od postavitve nove tekaške proge, očitno pa tega ni spremljal in proti temu ne ukrepala nobena od pristojnih inšpekcij niti upravljavec TNP, kljub temu, da so kršitve znane vsem.
ALPE ADRIA GREEN, tudi v imenu drugih okoljskih in naravovarstvenih nevladnih organizacij, ter druga društva so v zadnjih letih na naslove pristojnih inšpekcij ter na ministrstva, ki so pristojna za okolje in naravo, na Državni zbor, Javnemu zavodu TNP in drugim pristojnim službam naslovile na desetine pritožb, ki so se nanašale na nezakonito ali naravi in okolju neprijazno delovanje oziroma obratovanje Športnega centra Triglav Pokljuka – kakšna farsa, da delujejo pod imenom »Triglav«, morda zato ker zasedajo pomemben del prostora znotraj edinega narodnega parka, ki ga Slovenci premoremo – pritožbe pa so se nanašale na svetlobno onesnaževanje kot tudi na druge kršitve. Žal odgovorne institucije vse do danes niso ukrepale proti kršiteljem vrste zakonov in uredb s področja okolja, varstva narave, prostorskega urejanja in graditve objektov na tem območju.
Da do danes ni bilo nobenega konkretnega ukrepa proti navedenim kršitvam zakonov in uredb je morda iskati vzroke tudi v klientelizmu, saj so med uporabniki uslug tega centra tudi mnogi poslanci, uradniki z vrste ministrstev kot tudi sodniki. Se morda tudi zaradi tega postopki na upravnem sodišču in zadeve pri drugih organih, ki so pristojni za nadziranje zakonov ne rešujejo v zakonitih rokih in se postopki vlečejo do zastaranja????????

Nočno nebo posneto na strelišču biatlona na Rudnem Polju – Pokljuka – TNP
2) Smučarsko zveza Slovenije, kot stoodstotnega lastnika športnega centra na Rudnem polju na Pokljuki, ki je do zdaj izgubila vse bitke s sodnimi mlini v postopku pridobivanja okoljevarstvenega soglasja za vodno zajetje za zasneževanje prizorišč tekmovanj svetovnega pokala v biatlonu in tega ni zasula, kljub pravnomočni odločbi iz sodišča in pozivu inšpekcijskih služb, da se mora ta črnogradnja zasuti in sanirati območje v prvotno stanje!

Kopali so in kopali in izkopali 5x večjo “luknjo” za vodni zbiralnik, kot so imeli dovoljenje! Kje pa so bili nadzorniki gradnje pa je drugo vprašanje, ki ga v AAG mislimo razrešiti v prihodnjem letu!

Tekaški center je bil zgrajen tudi z sredstvi Evropske Unije, kar pomeni, da je EU subvencionirala izgradnjo “ČRNO GRADNJE”!
Celotne obrazložitve so objavljene spodaj.
Upravni odbor Alpe Adria Green Slovenija je na podlagi gornje obrazložitve 16.12.2013 sprejel sklep, da se Smučarsko zvezo Slovenije razglasi za “zmagovalko ČRNE LISTE” obenem pa si ji podeli za leto 2013 naslov:
“EKOLOŠKO NEOSVEŠČENA ORGANIZACIJA V LETU 2013”
Predsednik Alpe Adria Green:
Vojko Bernard
Alpe Adria Green deluje, brez redno zaposlenih. Finančna sredstva za naše delovanje prispevajo prevsem občani, preko:
-članarin
– od dela dohodnine, ki jo lahko daste AAG, namesto državi – več:
https://alpeadriagreen.wordpress.com/dohodnina-obrazrc/
– od donacij posameznikov in podjetij
DubLi – Travel, Shopping, Entertainment & Savings, če izberete potovanje ali nakupujete na tej spletni strani:
Komisija za izbor imena
prvega četrtletja 2013 na črni listi,
je izbrala:
»TEKAŠKI CENTER RUDNO POLJE NA POKLJUKI – TNP«
TAKO NAJ BI IZGLEDAL TEKAŠKI CENTER NA RUDNEM POLJU
PONOČI VENDAR SO SVETILKE ZAMENJALI Z CENEJŠIMI
S TEM BISTVENO POVEČALI SVETLOBNO ONESNAŽENOST!
1.februarja 2013 smo ob 22 uri in 30 minut dobili obvestilo, ki smo ga takoj preverili na spletni kameri (http://www.center-pokljuka.si/sl/pokljuka/kje-kod-kam/kamera-v-zivo.html), da je bila tekaška steza na Rudnem polju na območju Triglavskega narodnega parka (v nadaljevanju: TNP), v tem času še razsvetljena, čeprav je po našem vedenju bilo izdano dovoljenje za osvetljevanje proge (prižgane svetilke) samo do 20. ure. Na tekaški progi je bilo samo peščica tekačev.
Razsvetljenost tekaške proge se lahko preveri na posnetkih kamere “Športnega centra Pokljuka”! Te kršitve se dogajajo vse od postavitve nove tekaške proge, očitno pa tega ne spremlja in proti temu ne ukrepa nobena od pristojnih inšpekcij niti upravljavec TNP, kljub temu, da so kršitve znane vsem.
Svetlobno onesnaženje pomeni vsak neposreden ali posreden vnos umetne svetlobe v okolje, kar ima dokazane negativne vplive na biotsko raznovrstnost in na človeka. V Uredbi o mejnih vrednostih svetlobnegaonesnaževanja okolja – (Uredba o spremembah in dopolnitvah Uredbe o mejnih vrednostih svetlobnega onesnaževanja okolja (Uradni list RS, št. 62/10)), je svetlobno onesnaževanje definirano kot »emisija svetlobe iz virov svetlobe, ki poveča naravno osvetljenost okolja.« Naravni ritem dneva in noči je nujno potreben za normalno delovanje za večino živega sveta. Od metuljev, ptic, netopirjev, želv, žuželk in drugih vrst živali potrebuje temo oz. zvezde na nebu za orientacijo, izpolnjevanje prehranjevalnih potreb, parjenje ipd. Prekomerna umetna svetloba v nočnem času v nekaterih ekosistemih že resno ogroža posamezne vrste.
Dodatno k zgoraj navedenim prekrškom je potrebno tudi ponovno opozoriti, da CENTER POKLJUKA d.o.o še ni pridobil dovoljenja za obratovanje vodnega zbiralnika, namenjenega za umetno zasneževanje tekaških prog, kar je nesporno primer nedovoljene (črne) gradnje, ki še poslabšuje razmere na tem območju TNP.
Alpe Adria Green, tudi v imenu drugih okoljskih in naravovarstvenih nevladnih organizacij, ter druga društva so v zadnjih letih na naslove pristojnih inšpekcij ter na ministrstva, ki so pristojna za okolje in naravo, na Državni zbor, Javnemu zavodu TNP in drugim pristojnim službam naslovile na desetine pritožb, ki so se nanašale na nezakonito ali naravi in okolju neprijazno delovanje oziroma obratovanje Športnega centra Triglav Pokljuka – kakšna farsa, da delujejo pod imenom »Triglav«, morda zato ker zasedajo pomemben del prostora znotraj edinega narodnega parka, ki ga Slovenci premoremo – pritožbe pa so se nanašale na svetlobno onesnaževanje kot tudi na sporne helikopterske pristanke in prelete, na skrajno neprimeren način strojne sečnje na območju narodnega parka, na ureditev čistilne naprave, na ravnaje z odpadki ter na ravnanje z vodo. Žal odgovorne institucije vse do danes niso ukrepale proti kršiteljem vrste zakonov in uredb s področja okolja, varstva narave, prostorskega urejanja in graditve objektov na območju, katerega upravljavec je CENTER POKLJUKA d.o.o., Podutiška cesta 146, 1000 Ljubljana.
Da do danes ni bilo nobenega konkretnega ukrepa proti navedenim kršitvam zakonov in uredb je morda iskati vzroke tudi v klientelizmu, saj so med uporabniki uslug tega centra tudi mnogi poslanci, uradniki z vrste ministrstev kot tudi sodniki. Se morda tudi zaradi tega postopki na upravnem sodišču in zadeve pri drugih organih, ki so pristojni za nadziranje zakonov ne rešujejo v zakonitih rokih in se postopki vlečejo do zastaranja????????
Glede na povedano smo odločeni, da te kršitve prijavimo tudi Evropski komisiji zaradi porabe sredstev EU iz Evropskega sklada za regionalni razvoj za objekte, ki so zgrajeni in obratujejo v nasprotju z zakonom o TNP in drugimi zakoni in uredbami RS.
IZ TEGA SLEDI ZAKLJUČEK, DA OHRANJANJE NARAVE NA TEM OBMOČJU TNP NIMA PREDNOSTI, PAČ PA IMAJO ZARADI BREZBRIŽNOSTI IN NEDELOVANJA ZGORAJ NAVEDENIH DEJAVNIKOV IN V NASPROTJU Z ZAKONOM O TNP IN DRUGIMI PREDPISI, PREDNOST REKREACIJSKE DEJAVNOSTI – V TEM PRIMERU SO TO TEKAČI TER BIATLONCI – KAR POTRJUJE TEZO, DA TO POTEKA S POLNO PODPORO URADNIH INSTITUCIJ IN POLITIKE.
Na črno listo za prvo četrletje 2013 zato uvrščamo institucije:
- Smučarsko zveza Slovenije, kot stoodstotnega lastnika športnega centra na Rudnem polju na Pokljuki,
- CENTER POKLJUKA d.o.o.,Podutiška cesta 146, 1000 Ljubljana,JAVNI ZAVOD TRIGLAVSKI NARODNI PARK, Ljubljanska cesta 27, 4260 BLED
- MINISTRSTVO ZA KMETIJSTVO IN OKOLJE RS, Dunajska 22, 1000 Ljubljana
- INŠPEKCIJA ZA OKOLJE IN NARAVO, Parmova ul. 33, 1000 Ljubljana
- GRADBENA, GEODETSKA IN STANOVANJSKA INŠPEKCIJA
Inšpekcija za okolje in naravo opravlja inšpekcijski nadzor na področju varstva okolja in narave, ekološkega nadzora na državni meji, vodnega režima, urejanja voda in gospodarjenja z njimi. V okviru naštetih področij nadzora konkretno nadzoruje kakovost zraka, ravnanje z odpadki, kakovost voda, emisij snovi v vode, industrijsko onesnaževanje in tveganje, hrup, elektromagnetno sevanje, svetlobno onesnaževanje, nadzor nad kemikalijami in gensko spremenjenimi organizmi ter nadzor nad ohranjanjem narave.
Osnovna naloga gradbene inšpekcije je nadzor nad gradnjo objektov, predvsem preprečevati nedovoljene gradnje in nadzirati izpolnjevanje z zakonom predvidenih bistvenih zahtev glede lastnosti objektov v vseh fazah gradnje.

Nočno nebo posneto na strelišču biatlona na Rudnem Polju – Pokljuka – TNP
OBRAZLOŽITEV
Zavarovano območje je območje kopnega in/ali morja, določeno z namenom, da se dolgoročno zagotovi varstvo in ohranjanje narave ter biotske raznovrstnosti s pripadajočimi ekosistemskimi storitvami ter kulturnimi vrednotami in je upravljano s pravnimi ali drugimi učinkovitimi sredstvi.(IUCN, Guidelines for Applying Protected Area Management Categories http://data.iucn.org/dbtw-wpd/edocs/paps-016.pdf )
Narodni park je večje naravno ali skoraj naravno območje z ohranjenimi prvobitnimi ekološkimi procesi, z vrstami in značilnimi ekosistemi, ki je tudi temelj za zagotavljanje okoljskih in kulturno skladnih razmer za zadovoljevanje duhovnih, znanstvenih in izobraževalnih potreb ter rekreacije in obiskovanja,vse pa skladno s primarnimi cilji upravljanja. (IUCN, Guidelines for Applying Protected Area Management Categories http://data.iucn.org/dbtw-wpd/edocs/paps-016.pdf )
Narodni park je območje z izrazitimi značilnostmi visokogorskega sveta, geološkimi, geomorfološkimi, s hidrološkimi in z drugimi naravnimi vrednotami, obsežnimi in raznovrstnimi ekosistemi, izjemno bogatim rastlinskim in živalskim svetom z redkimi ter značilnimi rastlinskimi in živalskimi vrstami, z visoko stopnjo kakovosti krajine in ohranjenosti kulturne dediščine. Zgodovinske in kulturne vrednote ga povezujejo z večstoletno prisotnostjo človeka in njegovim vsakodnevnim delovanjem. Z ekološkega, zgodovinskega, kulturnega, vzgojnega, razvojnega, duhovnega, s simbolnega, z identitetnega ter estetskega vidika in zaradi vidne prepoznavnosti ima vse to izjemno velik narodni in mednarodni pomen ter velik pomen za parkovne lokalne skupnosti. (5. člen Zakona o Triglavskem narodnem parku (ZTNP-1) (Ur list RS, 52/2010)
V prvem odstavku 13. člena ZTNP (1) je določen splošni varstveni režim v narodnem parku, s katerim je na območju narodnega parka med drugim prepovedano:
· postavljati in uporabljati vire svetlobe za usmerjeno osvetljevanje naravnega okolja (14. točka) in
· graditi površinski vodni zbiralnik in ne gre za zbiralnik za napajanje živine (28. točka 13. člena);
V poglavju Kazenske določbe so za navedene prekrške določene globe in sicer za prekršek iz 28. točke od 25.000 do 200.000 eurov in iz 13. točke od 7.000 do 70.000 eurov.
ŠPORTNI CENTER POKLJUKA sicer na svoji spletni strani izjavlja:
»Na Rudnem polju je tako vzniknila deset milijonov evrov vredna investicija, ki se je s 6,5 milijoni financirala tudi iz evropskega sklada za regionalni razvoj. Preostanek sta prispevala Fundacija za šport in Smučarska zveza Slovenije, ki je preko gospodarske družbe Center Pokljuka d.o.o. upravljavec centra in tudi njen 100-odstotni lastnik.« in
»Gradnja Športnega centra Triglav Pokljuka je v celoti sledila strogim okoljevarstvenim zahtevam; zavedamo se namreč, da center leži v Triglavskem narodnem parku, zato je sobivanje z naravo in parkom še kako pomembno. V Centru si prizadevamo za čim manjšo obremenitev naravnega okolja in zlitje z njim v čim večji meri ……..«
http://www.center-pokljuka.si/sl/sportni-center/port-in-turizem/sportni-center.html
UGOTAVLJAMO PA, DA SO TO LE BESEDE, DEJSTVA PA KAŽEJO NEPRIMEREN ODNOS DO OHRANJANJA TNP, SAJ BI NA VIDNEM MESTU MORALO BITI OBJAVLJENO, DA JE OBRATOVANJE Z OSVETLJEVANJEM TEKAŠKIH PROG DOVOLJENO SAMO V ČASU, KI GA DOVOLJUJEJO PRIDOBLJENI URADNI DOKUMENTI O OBRATOVANJU.
IN TO BI MORALI UPRAVLJAVCI SEVEDA TUDI DOSLEDNO SPOŠTOVATI, PRISTOJNE SLUŽBE PA IZVAJATI NADZOR NAD IZVRŠEVANJEM PREDPISOV!
ALPE ADRIA GREEN POZIVA VSE, DA V SOBOTO, KO BO POTEKAL OKOLJSKI PROJEK URA ZA ZEMLJO 23.03.2013 OB 20 URI IN 30 MINUT UGASNEJO ZA ENO URO LUČI IN PRIŽGEJO SVEČO V SPOMIN TRIGLAVSKEMU NARODNEMU PARKU!

Komisija za izbor imena
drugega četrtletja 2013 na črni listi,
je izbrala:
Pristojne inšpekcijske službe RS, ki niso Papir Servisu v Vevčah, kljub temu, da so vedele, da ne sme obratovati brez pravnomočnega okoljevarstvenega dovoljenja niso preprečile obratovanje le tega.
OBRAZLOŽITEV:
Papir Servis v Vevčah ne bi smel obratovati, saj bi moral počakati na pravnomočnost okoljevarstvenega dovoljenja. V družbi so namreč junija 2013 zatrdili, da bo za začetek delovanja dovolj dokončno in ne pravnomočno dovoljenje, ter dodali, da nekatera dela že potekajo.
Družba Papir Servis je okoljevarstveno dovoljenje za lokacijo v Vevčah, kamor se je preselila iz Most, dobila februarja letos, nanj pa je bilo podanih več pritožb. Kljub temu, da je ministrstvo za kmetijstvo in okolje o pritožbah že odločilo in jih zavrnilo oziroma zavrglo, dovoljenje še ni bilo pravnomočno, saj je tekel 30-dnevni rok, v katerem lahko stranke sprožijo upravni spor.
Prepričani, da bodo lahko obratovali
V Papir Servisu pa so prepričani, da bodo kljub nepravnomočnemu dovoljenju lahko obratovali, saj je po njihovih besedah dovolj dokončno dovoljenje.
V Papir Servisu so prejeli odločbo ministrstva za kmetijstvo in okolje, iz katere nedvoumno izhaja, da se vse pritožbe zoper selitev na lokacijo v Vevče dokončno in v celoti zavrnejo. Prav tako so prejeli s strani inšpekcijskih služb v pristojnosti ministrstva odločbo o prepovedi obratovanja dokler izdano okoljevarstveno dovoljenje za to lokacijo ne bo dokončno.
Nekatera dela v Vevčah je Papir Servis že opravljal, kljub temu, da dovoljenje ni ne dokončno, ne pravnomočno. V strani inšpekcijskih služb, bi bile možne sankcije, vendar je bil začetek dela zaradi kopičenja embalaže po besedah Papir Servisa nujen.
Z njihovo razlago se na Agenciji RS za okolje niso strinjali.Kot so pojasnili, bi lahko Papir Servis z obratovanjem začel le na podlagi pravnomočnega dovoljenja, kar določa zakon o varstvu okolja. Pri tem so zapisali, da omenjeni zakon odstopa od splošnih pravil zakona o splošnem upravnem postopku, ki pravne posledice veže na dokončno odločbo. “V konkretnem primeru je zato treba upoštevati zahtevo četrtega odstavka 82. člena zakona o varstvu okolja, torej pravnomočnost okoljevarstvenega dovoljenja,” so še dodali.
Okoliški prebivalci niso pustili pri miru Papir Servisa in so pošiljali prijave na policijo in inšpekcijo z obrazložitvijo, da se “Okoljevarstveno dovoljenje vsak dan krši na večtočkah,” in da med drugim njihova hala ni v celoti pokrita, kot zahteva dovoljenje.
Na pritožbe prebivalcev inšpekcijske službe niso odreagirale v smislu, preprečitve opravljanja dejavnosti, temveč so samo pisale kazni. Zaradi njihovega neunčikovitega dela se je komisija, da jih pripne na črno listo AAG za drugo četrtletje 2013.
Komisija za izbor imena
tretjega četrtletja 2013 na črni listi,
je izbrala:
ARSO, ker je pri izdaji negativnega mnenja zamudila 15-dnevni zakonski rok v primeru bioplinarne v lasti podjetja Bio Fatura v Ilirski Bistrici.
OBRAZLOŽITEV:
Upravno sodišče, na katerega se je podjetje Bio futura pritožilo, ker jim je upravna enota zavrnila izdajo uporabnega dovoljenja za bioplinarno, je ugotovilo, da je republiška okoljska agencija pri izdaji negativnega mnenja zamudila 15-dnevni zakonski rok. Poročilo o tem, ali naprava pri obratovanju presega predpisane mejne vrednosti in ali izpolnjuje predpise o varstvu okolja, je namreč oddala dva dni prepozno.
Sodišče je zato sklenilo, da se v primeru zamude šteje, kot da je mnenje pozitivno, zato je upravna enota po razsodbi izdala dovoljenje za objekt bioplinarne v Ilirski Bistrici.
Izdali so štiri dokumente …
“Po izteku dob poskusnega obratovanja, ko bi moral investitor dokazati, da izpolnjuje zahteve po okoljevarstvenem dovoljenju, smo kar štirikrat izdali mnenje, ki ni omogočalo izdaje uporabnega dovoljenja. Upravna enota bi tako lahko že po prvem negativnem mnenju junija lani ali pa v naslednjih mnenjih izdala negativno mnenje, pa ga ni,” so se na ogorčenje javnosti in očitke o prepočasnem delovanju odzvali na Arso, kjer skušajo krivdo za zaplet zvaliti na Upravno enoto v Ilirski Bistrici. Tam so pojasnili, da prvo mnenje agencije sploh ni bilo popolno, saj je v poročilu o emisijah v zraku in kakovosti pregnitega blata zahtevala dopolnitve mariborskega zavoda za zdravstveno varstvo in investitorja.
Vršilka dolžnosti načelnika upravne enote Mirjana Valenčičje povedala, da so pridobljene dopolnitve septembra posredovali agenciji, ki je izdala pozitivno mnenje glede emisij v zraku, ne pa tudi glede kakovosti pregnitega blata.
Potrebne dopolnitve
“Arso je v mnenju izdanem konec oktobra lani ugotovil, da podjetje Bio futura ni predložilo niti popolne ocene odpadkov, ki nastanejo pri proizvodnji bioplina, niti popolne analize ostanka anaerobne razgradnje. Bio futura se je na to pritožila v dopisu, ki ga je Arso prejel 20. novembra, vendar je nanj odgovoril šele 17. decembra,” je dejala načelnica upravne enote. Na upravni enoti so takoj naslednji dan izdali odločbo, s katero so zahtevek za izdajo uporabnega dovoljenja zavrnili.
Po besedah Valenčičeve je Arso vsa mnenja napisal na način, da je morala Bio futura dopolnjevati poročila oziroma dokazovati, da so uporabljene metode vzorčenja pravilne.“Vsled navedenega in v skladu z zakonom o splošnem upravnem postopku smo morali lastnika bioplinarne seznanjati s stališči Arso in mu omogočiti, da se izjasni glede navedb. Zato ni bilo mogoče že po prvem mnenju izdati niti odločbe o zavrnitvi izdaje uporabnega dovoljenja, kakor tudi ne uporabnega dovoljenja,” je sklenila Valenčičeva.
Komisija za izbor imena
četrtega četrtletja 2013 na črni listi,
je izbrala:
Smučarsko zveza Slovenije, kot stoodstotnega lastnika športnega centra na Rudnem polju na Pokljuki, ki je do zdaj izgubila vse bitke s sodnimi mlini v postopku pridobivanja okoljevarstvenega soglasja za vodno zajetje za zasneževanje prizorišč tekmovanj svetovnega pokala v biatlonu in tega ni zasula, kljub pravnomočni odločbi iz sodišča in pozivu inšpekcijskih služb, da se mora ta črnogradnja zasuti in sanirati območje v prvotno stanje!
OBRAZLOŽITEV
Izvirni greh o vodnem zajetju se je po besedah Zbora za biatlon pri Smučarski zvezi Slovenije zgodil že pri pripravi projektne dokumentacije skupno deset milijonov evrov vredne investicije, ki je oktobra 2009 po letu dni gradnje vzniknila na Rudnem polju. »Takrat nam je arhitekt svetoval, da lahko soglasje za vodno zajetje pridobimo v postopku pridobivanja spremembe gradbenega dovoljenja. Zanesljivo z vodnim zajetjem, kot smo ga zgradili, ne bi bilo niti najmanjših težav in zapletov, če bi soglasje iskali še po starem zakonu o Triglavskem narodnem parku, vendar smo zamudili rok, v tem času je bil sprejet nov zakon in od soglasja smo se lahko poslovili,« so pojasnili, zato so jez gradili na “ČRNO”.
Upravljavci športnega centra so tako za zdaj izgubili prav vse bitke pred sodnimi organi za legalizacijo vodnega zajetja. AAG kot stranka v postopku smo ves čas nasprotovali prevelikemu vodnemu zajetju za zasneževanje, za nameček pa so prejeli še negativni sklep inšpekcije, njegova končna posledica pa je zasutje zajetja do dovoljenih okvirov, v izmerah 1400 kvadratnih metrov in 1400 kubikov, kar pa ne zadošča za zasneževanje. V postopku izdaje naravovarstvenega soglasja smo sodelovali okoljski nevladni organizaciji Alpe Adria Green (AAG) ter Društvo za opazovanje in proučevanje ptic (DOPPS), prepričani smo, da je akumulacijski bazen črna gradnja, ki bi jo morali odstraniti, okolico pa sanirati.
Športni center Pokljuka ima uporabno dovoljenje, razen za vodno akumulacijo v trenutnih izmerah. Na podlagi zakona na območju TNP ni možno graditi drugega kot napajalnika za živino, kar je bil vzrok negativne odločitve na sodišču, in je bila preprečena možnost pridobitve okoljevarstvenega soglasja.
V toku uporabe je prišlo do inšpekcijskega nadzora in tudi tu so dobili zahtevek za zasutje dela neskladno zgrajene akumulacije. Ta postopek so tudi že začeli. Seveda so bile ponudbe izvajalcev, po besedah Smučarske zveze tako visoke, da morajo izvesti javno naročilo, zato je bil izbor izvajalca prekinjen in so zaprosili za podaljšanje roka za izvedbo upravnega postopka. Trenutno še enkrat pripravljajo dokumente za vlogo za pridobitev okoljevarstvenega soglasja z argumentacijo, da bi bil del vode iz zajetja namenjen za zasneževanje, večji del kot meteorne vode pa za potrebe GAŠENJA V VISOKOGORJU, dejansko pa bi ga uporabljali še naprej za zasneževanje. Če s postopkom ne bodo uspešni, bodo ravnali skladno z inšpekcijsko pogodbo in zasuli del akumulacije v kolikor ne bodo našli krav, ki bi se pri tem jezu napajale.
Smučarska zveza se ne misli predali, še naprej bo delala umetni sneg iz vode v spornem jezu, kljub vsem izgubljenim tožbam v katerih je zapisano, da se voda lahko uporablja samo za napajanje krav. Skrbi jih tudi, če bomo jamo zasuli, to pomeni vsaj 4000 m3 zemlje, kje bodo odkopati in jo navoziti v to preveliko jamo in seveda potem akumulacijo prilagoditi dovoljeni kapaciteti. KAM PA SO BREZ DOVOLJENJA ODVOZILI IZKOPAN MATERIAL OB GRADNJI ČRNO GRADNJE PA JE DRUGO VPRAŠANJE! Postavljajo pa se tudi vprašanje, kam z vso odvečno meteorno vodo, ki jo sedaj zbirajo po celotni površini parkirišč in strehe na centralnem objektu. To pa je jasen dokaz, da je smučarska zveza zavedla vse, saj je lažno napisala in vrisala v projektno dokumentacijo jez veličine 1400 kvadratnih metrov, ne pa izgrajenega.
KJE PA JE BILA GRADBENA INŠPEKCIJA TEGA CENTRA, KO SO PRED NJIHOVIMI OČMI IZKOPALI 5X VEČJO JAMO ZA JEZ PA JE VPRAŠANJE ZA TOŽILSTVO RS! Osnovna naloga gradbene inšpekcije je nadzor nad gradnjo objektov, predvsem preprečevati nedovoljene gradnje in nadzirati izpolnjevanje z zakonom predvidenih bistvenih zahtev glede lastnosti objektov v vseh fazah gradnje.
ZA ZDRAVO PRIHODNOST NAŠIH OTROK!
ČRNA LISTA AAG -2012

Komisija pri UO AAG, je 22.01.2013 po pregledu dokumentacije o javnem glasovanju, ki je potekalo od 06.01.2013 do 18.01.2013, le tega potrdila in razglaša naslednje rezultate:
Preko e-glasovnic je bilo prejeto 237 odgovorov
REZULTATI:
1 Mesto: OBČINSKI SVET IN ŽUPANA OBČINE ŠENTJUR 139 glasov ali 59%
2 Mesto: Vlada RS in Ministrstvo za Kmetijstvo in okolje 66 glasov ali 28%
3 Mesto: AGENCIJO REPUBLIKE SLOVENIJE ZA OKOLJE 17 glasov ali 7%
4 Mesto: NEZNANO ODGOVORNO OSEBO 14 glasov ali 6%
Komisija za izbor imena prvega četrtletja na črni listi, je izbrala:
Vlado Republike Slovenije in
Ministrstvo za Kmetijstvo in okolje,
zaradi vzroka, ker na račun varčevanja NISTA VEČ PRIPRAVLJENI FINANCIRATI DELO NEVLADNIH ORGANIZACIJ, KI DELUJEJO IZVEN LJUBLJANE NA PODROČJU OKOLJA. Za delovanje okoljskih nevladnih organizacij za leto 2012 -2013 je bil objavljen samo en razpis in sicer za delovanje OKOLJSKEGA CENTRA V LJUBLJANI
( http://www.mop.gov.si/si/medijsko_sredisce/novica/article/7622/8357/763b8e9fd0/ ), vse druge NVO, ki imamo sedež izven Ljubljane, pa očitno VLADA in MKO želi čimbolj onesposobiti, da bi zaradi pomanjkanja denarnih sredstev zaprli “VRATA” in tako omogočili delovanje neekološko usmerjene industrije in kmetijstva. Tako razmišljanje vlade, da bo na ta račun privarčevala je skrajno zgrešeno, saj kot je znano večini prebivalcem v Sloveniji inšpekcijske službe s področja okolja ne delujejo.
Verjetno Vlada in MKO želita preprečiti delovanje okoljskih organizacij tudi iz razloga, ker AAG in še nekaj takih organizacij deluje tudi na zdravstveni zaščiti prebivalcev. Dejstvo je, da smo jim prevečkrat dokazali, da zdravstveni problemi prebivalcev izhajajo ravno iz neurejenih okoljskih problemov.
Poudarjamo, da ta odločitev ni naperjena proti NVO, ki delujejo v Okoljskem centru, temveč je namenjena samo zgoraj navedenima!
AAG nima toliko denarnih sredstev iz drugih virov, da bi še lahko delovalo po sprejetem programu dela za 2012 in 2013, zato bomo naše neprofitno delovanje skrčili na minimum. To pomeni, da ne bomo več delali na manjših, sicer okolju pomembnih projektih, temveč se bomo osredotočili samo še na tiste projekte za katere bomo smatrali, da so najbolj pomembni za zdravje ljudi in ohranjanje narave za naše zanamce!
V kolikor ne bo država RS pričela obravnavati vse NVO enakopravno po delu in ne po lokaciji kjer delujejo, bomo delovali proti taki njeni politiki in bomo pričeli obveščati vso mednarodno javnost preko preko mreže NVO TckTckTck po vsem svetu, katere član je tudi Alpe Adria Green!
Predsednik AAG Vojko Bernard
Slovenion Government released only one call for the operation of environmental NGO for years 2012/2013
Ljubljana – environmental NGO Alpe Adria Green (AAG) has put the government of RS and Ministry for agriculture and environment to a black list. The reason is that they are not willing to support and finance the work of environmental NGO besides those who operate in Ljubljana.
»One call was released for operation of environmental NGO, especially for the operation of Okoljski center in Ljubljana (environmental centre), says Vojko Bernard, the president of AAG. He adds that the obvious aim of this government is that environmental NGO stopped working, so the un-ecological industry and agriculture would be more functional.
»This kind of perspective is wrong since in Slovenia even environmental inspections are not functional and efficient. «
He cynically added that if in the national Assembly prices for lunches, brunches and drinks were little higher, there would be no need for saving money at environmental organizations.
original: http://www.delo.si/gospodarstvo/okolje/vlada-na-crni-listi-alpe-adria-green.html
Verjetno, bi lahko vlada razpisala razpis za delovanje NEVLADNIH ORGANIZACIJ, ČE NE BILO TEGA:


Vlada Slovenije na crnoj listi Alpe Adrie Green
7.5.2012 0:54:00 | Autor/Izvor PressCut
Alpe Adria Green, nevladina ekološka organizacija, stavila je na svoju crnu listu slovensku vladu i ministarstvo za poljoprivredu i okoliš jer više ne žele sudjelovati u financiranju nevladinih organizacija koje djeluju izvan Ljubljane. Prema riječima Vojka Bernarda, predsjednika AAG, za razdoblje 2012-2013 raspisan je samo jedan natječaj i to rad Ekološkog centra u Ljubljani.
Bernard smatra da je zatvaranje ekoloških organizacija cilj Vlade i ministarstva te da time žele omogućiti rad neekološke industrije i poljoprivrede. Nadodaje da inspekcijske službe s područja ekologije ne rade svoj posao.
Vlada na črni listi Alpe Adria Green
Vlada in ministrstvo za kmetijstvo in okolje nista več pripravljena financirati dela nevladnih organizacij.
B. T., gospodarstvo
pet, 04.05.2012, 15:00

Za delovanje okoljskih organizacij za obdobje 2012 2013 je vlada objavila samo en razpis, foto: Tadej Regent/Delo
Ljubljana – Nevladna okoljevarstvena organizacija Alpe Adria Green (AAG) je na svojo črno listo postavila vlado in ministrstvo za kmetijstvo in okolje, ker nista več pripravljena financirati dela nevladnih organizacij, ki delujejo na področju okolja zunaj Ljubljane. »Za delovanje okoljskih organizacij za obdobje 2012–2013 je objavljen samo en razpis, in sicer za delovanje Okoljskega centra v Ljubljani,« pravi Vojko Bernard, predsednik AAG.
Dodaja, da je cilj vlade in ministrstva očitno to, da bi okoljske organizacije zaradi pomanjkanja denarja zaprle vrata, s čimer bi omogočili delovanje neekološke industrije in kmetijstva. »Tako razmišljanje vlade je skrajno zgrešeno, saj, kot je znano večini v Sloveniji, inšpekcijske službe s področja okolja ne delujejo,« pravi Bernard. Vlado je še zbodel, da varčevanje pri okoljevarstvenih organizacijah najbrž ne bi bilo potrebno, že če bi v državnem zboru jedli malce dražja kosila in malice ter pili malo dražje pijače.
Od: AAG ALPE ADRIA GREEN <alpeadriagreen@gmail.com>
> Datum: 09. maj 2012 06:47
> Zadeva: STIK Z VOLILCI
> Za: gregor.virant@dz-rs.si, gp@dz-rs.si
S 700.000 evrov, ki jih naši poslanci dobijo, kar tako za “STIK Z VOLILCI”
> in jim pri tem ni potrebno niti oddati pojasnila za kaj so zapravili ta
> denar, bi lahko financirali najmanj 20 večjih nevladnih organizacij, ki
> morajo oddati vsa poročila in še davek od prihodkov morajo odvesti državi,
> kar našim poslanskim “BOGOVOM” ni potrebno!!!!
Postanite tudi vi član ALPE ADRIA GREEN – ZA EKO PRIHODNOST NAŠIH OTROK, s tem boste aktivno vplivati k varovanju okolja , to lahko storite, če kliknete spodnjo povezavo: https://alpeadriagreen.wordpress.com/pristopna-izjava/ SKUPAJ BOMO MOČNEJŠI !!!
NAMENITE DEL DOHODNINE AAG , Z NJO NAMERAVAMO KUPITI ANALIZATOR VODE, VAŠI POTOMCI IN NARAVA VAM BODO HVALEŽNI! https://alpeadriagreen.wordpress.com/2011/12/23/namenite-del-dohodnine-aag-vai-potomci-in-narava-vam-bodo-hvalezni/
OGLEJTE SI TUDI – MERITVE IMISIJ, KI JIH IZVAJAMO S SVOJIM APARATOM CEREX: http://imisije.wordpress.com/
Komisija za izbor imena drugega četrtletja na črni listi, je izbrala:
AGENCIJO REPUBLIKE SLOVENIJE ZA OKOLJE,
zaradi izdaje okoljevarstvenega dovoljenja št. 35430-20/2011-6, za obratovanje naprave za odstranjevanje in recikliranje odpadkov živalskega izvora vključno z napravami, kjer se odpadki živalskega in skladiščijo ali obdelujejo pred nadaljnim ali predelavo odstranjevanjem z zmogljivostjo predelave 9 ton odpadkov živalskega izvora na dan, ki bi ga izvajal upravljalec Bioštrom d.o.o., Zgornje Pirniče 71E, 1215 Medvode. Naprava se nahaja na lokaciji 1166 in 1168, obe k.o. Zgornje Pirniče.
OBRAZLOŽITEV
Okoljevarstveno dovoljenje, ki je bilo po predloženim parametrih dejansko izdano za 800 kW bioplinarno in ne za 999 kW ali večjo, nam poraja sum, da je bilo le to izdano samo zato, da bi upravljavec zadovoljil zakonodaji in navkljub postopkom v teku za odstranitev objektov s tem lahko zagnal to napravo, ne pa zaradi same varnosti in varovanja ljudi in narave na tem področju. V ALPE ADRIA GREEN, tudi dvomimo, da sta bila pripravljavec in izdajatelj tega okoljevarstvenega dovoljenja enostavno samo tako nestrokovna, da zgoraj navedenih napak in parametrov ne bi videla.
V ALPE ADRIA GREEN, mednarodnem društvu za zaščito okolja in narave, ki deluje v javnem interesu, je bilo ugotovljeno, da je bila pri izdaji kršena AARHUŠKA konvencija, saj krajani Zgornjih Pirnič, ki so tudi člani AAG, niso bili obveščeni, da se okoljevarstveno dovoljenje pripravlja in bi morali biti vključeni pri obravnavi le-tega, kot že priznani stranski udeleženci v postopku izgradnje te bioplinarne, niti niso prejeli tega okoljevarstvenega dovoljenja, kot stranka v postopku v tej zadevi.
Strokovne podlage, po katerih so bili izdelani vplivi na okolje, so nestrokovne in zameglijo realno stanje, ki bi nastalo z zagonom bioplinarne. Iz okoljevarstvenega dovoljenja je razvidno, da živalskih trupel ne bodo predelovali, biolinarna pa pade v to kategorijo zaradi gnojevke, kar pa ni nobena garancija, da upravljalec ne pričel za gorivo uporabljati živalskih trupel, kar dokazujejo tudi sedanje kršitve pri gradnji tega objekta in skladiščenju silaže, za to bioplinarno.
V zgoraj navedenem okoljevarstvenem dovoljenju je kar nekaj nepravilnosti:
1) V kolikor pregnito blato 1. kategorije bo šlo lahko na polje (zaradi zakonske omejitve v zimskem času-zato je potreben zalogovnik), v kolikor nima zalogalnika – skladišča bo sistem neobvladliv, kar pa ni v skladu z našo zakonodajo ( 20. člen Zakona o varstvu okolja).
2) Pri anaerobni predelavi navedene mešanice dnevnih količin substratov je pričakovati tvorbo toksičnih sestavin predvsem amoniaka in žvepla v nedovoljenih količinah za 1. Kategorijo substratov ter posledično nedovoljeno odlaganje takšnih substratov, po naši zakonodaji na polja.
3) Odločba tudi ne regulira odstranjevanje tovrstnih substratov kar pa ni v skladu z našo zakonodajo ( 20. člen Zakona o varstvu okolja).
4) Tekoči del se bo ves vračal in lahko se zgodi, da se bodo koncentrirale tudi toksične substance. Toksično substance bodo preprečile tvorbo bioplina, zato bo moral upravljavec takšen substrat popolnoma odstraniti iz fermentorjev zaradi previsokih količin žvepla in žveplene kisline ter amoniaka in toksičnih mikroorganizmov pa je le tega prepovedano posuti po poljih. ( 20.člen Zakona o varstvu okolja)
5) Da so se izognili postopku pridobitve IPPC dovoljenja, so navedli recepturo, ki komaj zadostuje za pogon največ 800 kW bioplinskega motorja.
6) Substrati: glicerola na trgu ni ali pa je predrag (nad 240 EURO/t), koruzna silaža se je letos močno podražila, še bolj silaža iz zrnja, vinjasa iz Madžarske, ki je navedena kot gorivo, je tudi problematična zaradi zelo malo energije in veliko žvepla. Glede na predvideno količino substrata, ki jo navaja, bo iz njega nastalo cca 7500m3 bioplina na dan,kar zadostuje za 800kW motor in ne za 999kW ali večji, kot je navedeno v dokumentaciji za plinsko – batni motor kogeneratorja. To gorivo bo zadoščalo samo za pogon plinsko batnega motorja v kolikor ni večji od 800kW.
7) Opisani postopek 24 urne higienizacije je popolnoma neprimeren in ne zagotavlja varnega okolja okoliškim prebivalcem.
8) Okoljevarstveno dovoljenje je bilo izdano ne glede na to, da upravljalec nima osnovnih pogojev za skladiščenje substrata in drugih goriv, saj le te skladišči na prostoru, ki ni pokrit in iz njega odtekajo izcedne vode, kar ni v skladu z našo zakonodajo ( 19. člen Zakona o varstvu okolja).
9) Pri gnitju gorivo povzroča neznosen smrad, pri tem pa se sproščajo tudi strupeni plini, ki vplivajo na zdravje ljudi, kar so dokazali v zdravstvenem domu v Medvodah in ni v skladu z našo zakonodajo (17. Člen Zakona o varstvu okolja).
10) Če pogledamo ekonomsko plat tega projekta, ki bi bil izveden po tem okoljevarstvenem dovoljenju, bi upravljalec imel več stroškov kot prihodkov v kolikor je plinsko batni motor večji od 800KW .
11) Upravljavec mora nelegalno zgrajene objekte oziroma objekte, ki so v nasprotju z izdanim gradbenim dovoljenjem odstraniti in vzpostaviti prvotno stanje.
12) V kolikor bo želel upravljalec polno zagnati bioplinarno, ki ima po dvomljivi dokumentaciji moč 999kW ( navedena moč je nazivna, kar pa še ne pomeni, da je le navedena zaradi zakonodaje, ki manjšim bioplinarnam od 1000kW omogoča pridobiti državno subvencijo) ali večjo, bo moral pričeti uporabljati večjo količino navedenih goriv, pri tem pa ni izključeno niti to, da bo upravljalec nadomestil gorivo z živaljskimi trupli, odpadki iz slovenskih zdravstvenih ustanov in drugimi gorivi, kar lahko bistveno poveča količino emisij iz bioelektrarne, prav tako pa se bo spremenila kemična sestava teh emisij.









POVEZAVA NA NOVICO: PRITOŽBA AAG ZOPER OKOLJEVARSTVENO DOVOLJENJE ZA BIOELEKTRARNO V ZG. PIRNIČAH
Medvoška plinarna dobila dovoljenje Arsa
Domačini vztrajajo, da obrat, zgrajen brez gradbenega dovoljenja, ne sme začeti obratovati
Marjana Hanc
pon, 09.07.2012, 18:00

Smrdeča silaža v silosu pred bioplinarno Petač. Foto: Marjana Hanc/Delo
Alpe Adria Green preprečila izdajo gradbenega dovoljenja
Ob odprtju bioplinarne junija 2010, ko se še ni vedelo, da je zgrajena drugače, kot je dovoljevalo gradbeno dovoljenje, je Miha Petač napovedal, da bo bioplinarna vsako leto proizvedla 8,2 milijona kilovatov električne energije in 4,1 milijona kubičnih metrov bioplina. Petač je v juliju 2010 podal vlogo za novo gradbeno dovoljenje, vendar ga zaradi nasprotovanja stranskih udeležencev v postopku, katere zastopa Alpe Adria Green, ni pridobil.
Medvode – V Pirničah in okolici ne smrdi več po po gnojevki in razpadajoči silaži bioplinarne Oragnica Petač. Po inšpekcijski odločbi jo je Miha Petač odstranil, krajani, ki so pričakovali rušenje nelegalno zgrajene bioplinarne, pa se zdaj razburjajo, ker je Agencija RS za okolje v juniju izdala okoljevarstveno dovoljenje.
Kot poudarjajo na Arso, dovoljenje za napravo z emisijo snovi v zrak še ni dokončno. Nevladna organizacija Alpe Adria Green in občina Medvode sta se namreč že pritožili, vsak dan pa je več tistih, ki ministrstvo pozivajo, naj ga razveljavi. Krajani Pirnič, nekateri so člani AA Green, so prepričani, da bi morali biti vključeni v postopek. Bolj natančno, gre za napravo za odstranjevanje ali recikliranje odpadkov živalskega izvora z zmogljivostjo predelave devet ton teh odpadkov na dan.
»Agencija ni imela pristojnosti«
Bioplin bodo uporabljali kot gorivo v nepremičnem motorju z notranjim izgorevanjem, vhodne toplotne moči 2857 MW. Na Arso so za Delo pojasnili, da so vlogo podjetja Bioštrom v lasti Mihe Petača za izdajo okoljevarstvenega dovoljenja prejeli 12. maja letos, odločbo, ki nosi datum 13. junij, pa so skladno z zakonom o varstvu okolja poslali tudi občini Medvode. »Agencija po Zakonu o varstvu okolja ni imela pristojnosti, da bi o postopku obveščala krajane,« je pojasnila Tanja Cegnar iz Arso.
V AA Green trdijo, da je bilo okoljevarstveno dovoljenje izdano kljub temu, da upravljavec nima ustreznega skladišča za substrat in gorivo. Pri gnitju je neznosen smrad, pri tem se sproščajo tudi strupeni plini. Na ta problem so že konec marca opozarjali tudi iz medvoškega zdravstvenega doma. Pediatrija Marija Logar Kržišnik je imela povečano število bolnikov s hujšimi oblikami okužb zgornjih in spodnjih dihal. Medtem ko je vso lansko zimo napotila v bolnišnico 40 ogroženih bolnikov, jih je do konca marca 54, ali dobro tretjino več.
Odvoz silaže uničil cesto
Ker pri nas ni zakonodaje, ki bi omejevala smrad, Arso emisij snovi v zrak v okoljevarstvenem dovoljenju ni obravnaval. Sosedje, ki nasprotujejo bioplinarni, poudarjajo, da Bioštrom za 6,5 milijona evrov vredni energetski objekt, slovesno odprt pred dvema letoma, nima veljavnega gradbenega dovoljenja in bi ga po odločbi gradbene inšpekcije iz januarja 2011 lastnik moral odstraniti v osmih mesecih. A kot je napovedal, je Miha Petač pred enim letom začel graditi hlev, delno je porušil prevelik silos in dal iz njega odstraniti silažo. Domačini, ki so še nedavno pritoževali, da imajo glavobole, pekoče grlo, da jih sili na kašljanje in obhaja slabost, pravijo, da so od meseca maja odpeljali 400 »šleperjev« razpadajoče silaže. Zaradi hudih obremenitev se je vdrla cesta, zato je medvoška občina z znakom prepovedala promet tovornih vozil. Silaža je tako za zdaj ostala na polju, vendar zaradi oddaljenosti od hiš ni problematična.
| |
REPUBLIKA SLOVENIJA
Upravna enota LJUBLJANA
Trg prekomorskih brigad 1, 1000 Ljubljana T: 01 306 30 00
F: 01 306 33 58
E: ue.ljubljana@gov.sihttp://www.upravneenote.gov.si/ljubljana/
Številka: 351-1653/201-68
Datum: 13.6.2012
u.p.: MOP-UE0054-P2
Zadeva: elektronski dopis z dne 12.6.2012
Zveza: Bioplinska elektrarna Organica Petač
V zvezi z vašimi vprašanji, ki ste jih posredovali po elektronski pošti, vas obveščamo, da je Upravna enota dne 28.3.2011 izdala odločbo številka 351-1653/2010-40, s katero je bila zahteva Bioštrom d.o.o., za spremembo gradbenega dovoljenja številka 351-719/2006-34 z dne 20.12.2007, zavrnjena.
Na pritožbo investitorja, je Ministrstvo za infrastrukturo in prostor z odločbo številka 35108-459/2010/NiK-15 dne 8.6.2011, pritožbo zavrnilo in negativno odločbo prvostopnega organa potrdilo.
Tožba zoper odločbo ministrstva je bila zavrnjena s sodbo Upravnega sodišča številka IU 1297/2011-14 z dne 29.3.2012.
Vloga za uporabno dovoljenje do današnjega dne ni bila vložena.
S spoštovanjem
Metka Močnik
svetovalka II.
ODZIV ARSO:
9. julij 2012
Pojasnilo o izdanem okoljevarstvenem dovoljenju za bioplinarno v Zgornjih Pirničah
Odzivamo se na objavo nevladne okoljske organizacije Alpe Adria Green (dalje:AAG),da je njena komisija izbrala Agencijo Republike Slovenije za okolje (dalje:ARSO) za ime drugega četrtletja na črni listi AAG in sicer zaradi izdaje okoljevarstvenega dovoljenja št. 35430-20/2011-6 za obratovanje bioplinarne upravljavca Bioštrom d.o.o., Zgornje Pirniče 71E, 1215 Medvode. Obveščamo tudi, da je dne 26. 6. 2012 prejeti dopis AAG,v katerem je izražena zahteva za vključitev v postopek izdaje okoljevarstvenega dovoljenja, na ARSO v obravnavi.
V okoljevarstvenem dovoljenju glede emisij snovi v zrak, izdanem dne 14. 6. 2012, je jasno raz-vidno, da se nanaša izključno na emisije snovi v zrak, in sicer na zahteve v zvezi z ukrepi za zmanjševanje emisije v zrak, mejne vrednosti emisije snovi v zrak in izvajanje obratovalnega monitoringa emisije snovi v zrak. Večina pripomb AAG pa je navedenih v zvezi z obdelavo odpadkov in vnosom pregnitega blata v tla, kar pri izdaji okoljevarstvenega dovoljenja za emisije snovi v zrak sploh ni predmet obravnave. Poleg tega obstoječe stanje na lokaciji ni v nobeni povezavi z izdanim okoljevarstvenim dovoljenjem, saj je le to izdano za novo napravo, ki še ne obratuje.
Glede pomislekov AAG, katere vrste odpadkov se lahko predeluje v bioplinarni, pojasnjujemo, da le to določa Uredba o obdelavi biološko razgradljivih odpadkov. V kolikor bi upravljavec Bioštrom d.o. predeloval poleg lastne gnojevke tudi npr. živalska trupla ali pa bi predelana količina presegla 10 ton odpadkov živalskega izvora na dan, bi moral pridobiti bodisi okoljevarstveno do-voljenje za obdelavo odpadkov ali pa celovito dovoljenje IPPC. Za nadzor in izrekanje ukrepov v primeru kršitev okoljske zakonodaje ali določil veljavnega dovoljenja pa je pristojen Inšpektorat RS za kmetijstvo, gozdarstvo, hrano in okolje in ne ARSO.
Dalje pojasnjujemo, da je v izreku izdanega okoljevarstvenega dovoljenja določena vhodna toplotna moč motorja in sicer 2,857 MW. V zapisu AAG se navedena podatka “800 kW bioplinarna” oz. “999 kW bioplinarna” najverjetneje nanašata na električno moč motorja, kar pri izdaji dovoljenja za emisije snovi v zrak sploh ni predmet obravnave.
Krajani Zgornjih Pirnič se pritožujejo tudi nad emisijami neprijetnih vonjav, ki jih povzroča gnitje silaže. V zvezi s tem pojasnjujemo, da v Republiki Sloveniji zaenkrat ni nobene uredbe, ki bi urejala področje vonjav. Uredba o emisiji snovi v zrak iz nepremičnih virov onesnaževanja, na podlagi katere je bilo izdano okoljevarstveno dovoljenje za emisije snovi v zrak, pa izrecno določa, da se le ta za vonjave ne uporablja. Emisije neprijetnih vonjav zato v izdanem okoljevarstvenem dovoljenju niso obravnavane. Umestitev bioplinarne v prostor oz. bližino naselij pa je stvar prostorskega načrtovanja lokalne skupnosti.
Glede očitkov AAG, da je bila pri izdaji kršena Aarhuška konvencija, ker krajani Zgornjih Pirnič niso bili obveščeni ali vključeni v pripravo dovoljenja, pa pojasnjujemo, da ARSO skladno z Zakonom o varstvu okolja ni imela pristojnosti, da bi o postopku izdaje okoljevarstnega dovoljenja za bioplinarno v Zgornjih Pirničah obvestila tudi krajane. Pač pa je ARSO skladno z zakonom posredovala odločbo občini Medvode in pristojnemu inšpektoratu.
GORENJSKI GLAS:
| sreda, 11. julij 2012 | Avtor: Mateja Rant, Foto: arhiv GG |
| Za neprijetne vonjave ni uredbe V okoljevarstveni organizaciji AAG so se pritožili zoper okoljevarstveno dovoljenje za obratovanje bioplinarne v Zgornjih Pirničah. Zgornje Pirniče – Republiška agencija za okolje je sredi junija izdala okoljevarstveno dovoljenje glede emisije snovi v zrak za obratovanje naprave upravljavca Bioštrom v Zgornjih Pirničah. V mednarodni okoljski organizaciji Alpe Adria Green (AAG) so zoper izdano dovoljenje že vložili pritožbo. »Pri izdaji dovoljenja so kršili Aarhuško konvencijo, saj krajani Zgornjih Pirnič, ki so tudi člani AAG, niso bili obveščeni, da se okoljevarstveno dovoljenje pripravlja, čeprav bi morali biti vključeni pri njegovi obravnavi kot že priznani stranski udeleženci v postopku,« je pritožbo utemeljil predsednik AAG Vojko Bernard. AAG pri tej pritožbi zastopa več kot petdeset krajanov, ki so že izpostavljeni negativnim vplivom na okolje. »Okoljevarstveno dovoljenje je bilo izdano ne glede na to, da upravljavec ne izpolnjuje osnovnih pogojev za skladiščenje substrata in drugih goriv, saj ta skladišči na nepokritem prostoru. Pri gnitju gorivo povzroča neznosen smrad, pri tem pa se sproščajo tudi strupeni plini, ki vplivajo na zdravje ljudi, kar so dokazali v zdravstvenem domu v Medvodah,« je opozoril Bernard. Emisij neprijetnih vonjav, je ob tem pojasnila Tanja Cegnar z agencije za okolje, v tem koljevarstvenem dovoljenju niso obravnavali. »V Sloveniji ni nobene uredbe, ki bi urejala področje vonjav,« je pojasnila. Dodala je še, da agencija v skladu z uredbo o odpadkih ni izdala okoljevarstvenega dovoljenja za predelavo odpadkov v navedeni bioplinarni, saj stranka sploh ni vložila vloge. »Prav tako agencija za bioplinarno ni izdala okoljevarstvenega soglasja,« je pojasnila Tanja Cegnar. »Glede na navedbe v vlogi za pridobitev okoljevarstvenega dovoljenja glede emisije snovi v zrak upravljavcu v skladu z uredbo o obdelavi biološko razgradljivih odpadkov ni potrebno pridobiti okoljevarstvenega dovoljenja za obdelavo odpadkov, ker bo v bioplinarni predeloval gnoj, ki bo nastajal v okviru kmetijskega gospodarstva oziroma farme goveda, kjer bo potekala tudi obdelava biološko razgradljivih odpadkov.« Inšpekcija za okolje in naravo pa je podjetju Bioštrom že oktobra lani odredila odstranitev odpadne silaže s platoja silosa. Ker inšpekcijske odločbe ni izpolnil, so pojasnili pri inšpektoratu za okolje in naravo, so ga z denarno kaznijo v višini deset tisoč evrov prisilili k izpolnitvi odločbe. »Konec junija smo na kontrolnem pregledu na lokaciji bodoče bioplinarne v zvezi z izrečenim inšpekcijskim ukrepom ugotovili, da zavezanec zaključuje z deli, potrebnimi za izpolnitev inšpekcijske odločbe,« so še dodali pri inšpektoratu. EKO PATRULJA AAG – Sodi v rodiškem premogovniku ne sevajoavgust 22, 2012Rate ThisDr. Gorazd Pretnar iz koprskega zavoda za zdravstveno varstvo se je z članom AAG Francem Malečkarjem, podal 21. avgusta 2012 v opuščen premogovnik pri Rodiku sledeč podatku iz članka v Primorskih novicah izpred nekaj let, da naj bi bili v njem sodi z radioaktivnimi odpadki. To so novinarki povedali domačini, ki so ubranili rudnik pred polagalci venca na domnevnem povojnem morišču. Že takoj za vrati je nekaj zmečkanih zarjavelih sodov, največji kup pa je okoli 100 m v notranjosti. Tam nasutje prsti in skal zapira nadaljevanje, ki ga izdaja prepih. Strokovnjak je ugotovil, da bela in zelena snov ilovnatega izgleda ne seva. Vzel je vzorec, saj se nahaja v vodozbirnem območju Rižanskega vodovoda, v njegovem tretjem zaščitnem pasu. Predlagal bo, da se podzemno divje odlagališče čim prej sanira in razišče, kaj se skriva za podorom. Po zadnjih podatkih, ki smo jih zbrali v AAG, so sodove navozoli iz Mitol – Ajdovščina, podor pa je bil umetno sprožen, da se ne bi videlo, kaj je v jami. Zopet eno breme preteklosti, za katerega se je vedelo, samo ukrepal ni nihče! KAJ BO, ČE PRIDE OB TEM POMANJKANJU PITNE VODE, ŠE DO ONESNAŽENJA VODE IZ TE JAME, KDO BO ODGOVOREN???Komisija za izbor imena tretjega četrtletja na črni listi, je izbrala:ŠE VEDNO NEZNANO ODGOVORNO OSEBO, KI JE ODGOVORNA ZA NELEGALNO ODVRŽENE SODOVE V RODIŠKEM RUDNIKU21. avgusta 2012 se je Eko patrulja podala v opuščen premogovnik pri Rodiku sledeč podatku iz članka v Primorskih novicah izpred nekaj let, da naj bi bili v njem sodi z radioaktivnimi odpadki. To so novinarki povedali domačini, ki so ubranili rudnik pred polagalci venca na domnevnem povojnem morišču. Že takoj za vrati je nekaj zmečkanih zarjavelih sodov, največji kup pa je okoli 100 m v notranjosti. Tam nasutje prsti in skal zapira nadaljevanje, ki ga izdaja prepih. Strokovnjak je ugotovil, da bela in zelena snov ilovnatega izgleda ne seva. Vzel je vzorec, saj se nahaja v vodozbirnem območju Rižanskega vodovoda, v njegovem tretjem zaščitnem pasu. Predlagal bo, da se podzemno divje odlagališče čim prej sanira in razišče, kaj se skriva za podorom. Po zadnjih podatkih, ki smo jih zbrali v AAG, so sodove navozoli iz Mitol – Ajdovščina, podor pa je bil umetno sprožen, da se ne bi videlo, kaj je v jami. Zopet eno breme preteklosti, za katerega se je vedelo, samo ukrepal ni nihče! KAJ BO, ČE PRIDE OB TEM POMANJKANJU PITNE VODE, ŠE DO ONESNAŽENJA VODE IZ TE JAME, KDO BO ODGOVOREN???četrtek, 30.08.2012 ob 08:31 | Avtor: Alpe Adria Green“PODPALMO.SI”četrtek, 30.08.2012 ob 08:31Sodi v rodiškem premogovniku ne sevajoDr. Gorazd Pretnar iz koprskega zavoda za zdravstveno varstvo se je z članom AAG Francem Malečkarjem, 21. avgusta podal v opuščen premogovnik pri Rodiku sledeč podatku iz članka v Primorskih novicah izpred nekaj let, da naj bi bili v njem sodi z radioaktivnimi odpadki.To so novinarki povedali domačini, ki so ubranili rudnik pred polagalci venca na domnevnem povojnem morišču. Že takoj za vrati je nekaj zmečkanih zarjavelih sodov, največji kup pa je okoli 100 m v notranjosti. Tam nasutje prsti in skal zapira nadaljevanje, ki ga izdaja prepih.Strokovnjak je ugotovil, da bela in zelena snov ilovnatega izgleda ne seva. Vzel je vzorec, saj se nahaja v vodozbirnem območju Rižanskega vodovoda, v njegovem tretjem zaščitnem pasu. Predlagal bo, da se podzemno divje odlagališče čim prej sanira in razišče, kaj se skriva za podorom.Po zadnjih podatkih, ki smo jih zbrali v AAG, so sodove navozoli iz podjetja Mitol – Avdovščina, podor pa je bil umetno sprožen, da se ne bi videlo, kaj je v jami. Zopet eno breme preteklosti, za katerega se je vedelo, samo ukrepal ni nihče!KAJ BO, ČE PRIDE OB TEM POMANJKANJU PITNE VODE, ŠE DO ONESNAŽENJA VODE IZ TE JAME, KDO BO ODGOVOREN???Alpe Adria GreenCesta Franceta Prešerna 264270 Jesenice, SlovenijaDatum: 06.01.2013Komisija pri UO AAG za izbor imena četrtega četrtletja na črni listi, je izbrala:OBČINSKI SVET IN ŽUPANA OBČINE ŠENTJURAvgusta 2012 je občina Šentjur je razpisala javno razgrnitev občinskega prostorskega načrta (v nadaljevanju OPN), v katerem se tudi planira, da se na sedanjem ozemlju v Planinski vasi, ker stoji asfaltna baza, ki je bila leta 1998 zgrajena na črno, danes pa legalno obratuje samo z uporabnim dovoljenjem, prostor za industrijsko gradnjo. Alpe Adria Green in okoliški prebivalci, so podali pripombe na OPN občine Šentjur.Stališča, ki smo jih prejeli od občine Šentjur do naših pripomb in predlogov na osnutek OPN so nevsebinska (novinarski odgovori), za večino odgovorov pa sploh ne moremo najti smisla. Gre za pomanjkanje prevzema odgovornosti za svoja dejanja posameznih oseb na občini Šentjur. To nazorno pričajo ne samo že tri izdane sodbe Ustavnega sodišča, ki so razveljavile PUP za eno in isto zadevo, temveč tudi kršitve, ki se odražajo pri sedanjem OPN. Gre za kršitev Zakona o prostorskem načrtovanju. Predvsem temeljnega načela usmerjanja prostorskega razvoja naselij. V 6. členu je določeno, da se z razvojem naselij ne sme slabšati kakovost življenjskega okolja in da se morejo v čim večji meri ohranjati zelene površine naselja. Prav tako se pri OPN-ju ne zasledujejo načelo, da je potrebno ohranjati kmetijska zemljišča ter posegati v okolje tako, da je to funkcionalno povezano z obstoječim naseljem. OPN, s tem, ko ne izloči asfaltne baze iz ruralnega okolja, hribovitega območja južnega dela občine ustvarja protislovje – na eni strani OPN tretira Planinsko vas kot krajinsko poselitveno in funkcijsko značilnost občine v definiciji hribovitega območja južnega dela občine, na drugi strani pa dopušča industrijsko proizvodnjo v takšnem okolju. To ni skladno z omenjenim 6. členom Zakona o prostorskem načrtovanju in načelom usmerjanja prostorskega razvoja naselij. Ne spoštuje se 7. člen, ki določa, da interes ne sme škodovati javnemu; v konkretnem primeru asfaltne baze gre za protekcijo zasebnega interesa investitorja proti javnemu interesu, t.j. interesu vseh prebivalcev, predvsem pa interesu države, da v kmetijsko območje ne dopusti vselitve industrijskega objekta in proizvodnje. Prav tako se ne spoštuje 8. člen, ker se mora prostorsko načrtovanje ravnati po vrednotah in prepoznavnosti že obstoječih naravno ustvarjenih struktur in spoštovati posebnosti geografskih ter socialno ekonomskih značilnosti določenega prostora. Nič od tega ni upoštevano.V tej asfaltni sagi so se zamenjali trije župani in štirje občinski sveti. Njihovo delo je politično in ne strokovno. To dokazujejo same odločbe sodišč, kakor izjave svetnikov. Ena izmed izjav svetnika, ko smo se udeležili občinske seje je bila; jaz se ne bom ukvarjal s tem, kaj je prav in kaj ne, jaz bom glasoval politično.No, da zadeva vsa leta poteka politično tudi na drugih institucijah je dokaz tudi na Zavodu za varstvo narave, ki je podlegel političnim pritiskom bivšega MOP in po vseh izdanih negativnih mnenjih in zagotovilih, da z njihove strani občina ne bo dobili pozitivnega mnenja, kajti narava je tista, ki jo je potrebno varovati in obvarovati, je izdalo pozitivno mnenje.In prav ta sprememba mnenja ZVN je spremenila vso situacijo v prid onesnaževalcem in grobarjev zdravega okolja in narave.Na žalost pa je v tem procesu bilo vpletenih več znanih političnih osebnosti.V odgovoru, ki smo ga prejeli na naše pripombe 20.12.2012, v katerem so bile vse zavrnjene so med drugim tudi napisali: OBJEKT ASFALTNE MED ZAVEZANCE ZA IZVEDBO EMISIJSKEGA MONATORINGA SNOVI V ZRAK IZ NEPREPREMIČNIH VIROV NA PODLAGI…. v isti sapi pa navajajo, da čl 127 tudi UMILITVENE UKREPE, KI IZHAJOJO PO SANACIJI ARHITEKTURNE KRAJINE IN OŽJE OKOLICE OBJEKTA ASFALTNE BAZE. Le zakaj bodo izvajali sanacijo, če je z samim objektom vse v redu pa je drugo vprašanje!KRONOLOGIJA »ASFALTNA BAZA« Investitor zgradi asfaltno bazo, sredi vasi, na kmetijskem zemljišču na črno. 13.2.1998 Ministrstvo za okolje in prostor (v nadaljevanju MOP), inšpektorat RS za okolje in prostor izda odločbo: »rušenje in vrnitev okolja v prejšnje stanje«. 23.3.1998 Ministrstvo za kmetijstvo, gozdarstvo in prehrano, enota Celje, izda odločbo »vrnitev zemljišča v prejšnje stanje«. Odločbi nista bili izvršeni! Da bi bilo obstoječe stanje možno legalizirati, je občina Šentjur aprila 1998 pristopila k dopolnitvi Odloka o prostorskih ureditvenih pogojih za druga območja kmetijskih zemljišč v občini Šentjur. Občinski svet je Odlok sprejel kljub zavedanju o nepravilno vodenim postopkom. Krajani vložimo junija 1998 na Ustavno sodišče (v nadaljevanju US) pobudo za oceno ustavnosti in zakonitosti Odloka o prostorsko ureditvenih pogojih za druga območja kmetijskih zemljišč v Občini Šentjur z naslednjimi utemeljitvami: Ni bil izdelan prostorsko ureditveni plan (PUP) občine Šentjur. Ravnanje je bilo v nasprotju z 72. členom Ustave (ogroženo zdravo življenjsko okolje). Poseg v prostor je v nasprotju z varovanjem kulturne in naravne dediščine, opredeljene v 73. členu Ustave. S posegom se namreč grobo posega v prostor in ogroža Glijo jamo, ki je v varstvenem režimu kot geomorfološka podzemna naravna dediščina in je bila takrat v postopku obravnave predloga njene razglasitve za naravni spomenik. V Gliji jami je tudi vodni izvir reke Bistrice. Z izgradnjo takšnega industrijskega objekta bi bil njen status ogrožen. Takšen poseg v prostor bi trajnostno spremenil namensko rabo prostora, bivalne pogoje in ekološko ravnovesje. Povečala bi se nevarnost ekološke katastrofe, saj je pri delovanju asfaltne baze prisotna velika količina derivatov. Dne 21.10.1999 US izda Odločbo U-I-378/98, da se Odlok o dopolnitvah odloka o prostorskih ureditvenih pogojih za druga območja kmetijskih zemljišč v občini Šentjur razveljavi (prvič). Odlok se je razveljavil, asfaltna baza pa stoji in nemoteno obratuje. Občina Šentjur leta 2000 ponovno prične s postopki za sprejetje Prostorsko ureditvenega pogoja Občine Šentjur. PUP je potrjen na občinski seji dne 31.7.2003, kljub negativnemu mnenju Zavoda za varstvo narave . PUP ponovno roma na Ustavno sodišče v presojo in 26.5.2005 izdal Odločbo U-I-185/03-15, s katero je 47. člen odloka o prostorsko ureditvenih pogojih občine Šentjur razveljavilo(drugič). Upravna enota Šentjur dne 14.9.2004 izda gradbeno dovoljenje v soglasju z MOP – ARSO (gradbeno dovoljenje je bilo izdano v času, ko je na ustavnem sodišču potekal postopek ocene ustavnosti in zakonitosti odloka sprejetega 31.7.2003). Na izdano gradbeno dovoljenje so krajani septembra 2004 vložili tožbo na Upravnem sodišču in 11.7.2005 je bila izrečena Sodba v imenu ljudstva U 847/2005-37, da se tožbi ugodi v korist tožnikov (gradbeno dovoljenje je razveljavljeno). Kljub vsemu dne 28.7.2005 Upravna enota Šentjur izda Dovoljenje za poskusno obratovanje, šifra: 351-87/2005-200 za dobo enega leta (investitor je že poznal izzid sodbe, vendar ta še ni bila objavljena v Uradnem listu). Dne 12.7.2006 v NOČNIH URAH načelnica UE ga. Andreja Stopar z blagoslovom takratnega ministra za javno upravo g. Gregorjem Virantom izda Uporabno dovoljenje. Po našem mnenju je pri tem šlo za politično in angažirano dejanje pristojnih zoper večino prizadetih krajanov. Investitor asfaltne baze se kot stranka z interesom pritoži na sodbo Upravnega sodišča št. U 847/2005-37, ki je razveljavilo gradbeno dovoljenje na Vrhovno sodišče, ta pa je 10.10.2006 pritožbo zavrnilo kot neutemeljeno – Sodba v imenu ljudstva U- 847/2005-48. 30.11.2006 MOP izda Odločbo 351-02-250/2004-KB2, ki odpravlja odločbo UE Šentjur, št. 351-31/2004-221 (gradbeno dovoljenje) z dne 14.9.2004. Investitor asfaltne baze vloži tožbo zoper MOP na Upravno sodišče, katero pa je 23.1.2007 s sklepom št. U 5/2007-7 zavrnilo. 27.3.2007 MOP izda Odločbo 35110-9/2007-3-KB s katero investitorju zavrne pritožbo zoper odločbo UE Šentjur, št. 351-78/2006-100 (uporabno dovoljenje) z dne 12.6.2006. Lastnik asfaltne baze vloži pritožbo na Upravno sodišče, katero pa tožbi ugodi – sodba v imenu ljudstva U-133/2007, 20.9.2007. 3.5.2007 Inšpektorat RS za okolje in prostor območna enota Celje izda odločbo inšpekcijskemu zavezancu Asfalti Kovač, s katero je prepovedal oz. določil, da mora takoj po prejemu te odločbe ustaviti gradnjo asfaltne baze (AB je bila zgrajena leta 1998 in vse od takrat je v fazi obratovanju, inšpektorji pa leta 2007 zahtevajo ustavitev gradnje?) in odredil odstranitev objektov asfaltne baze. Inšpekcijskemu zavezancu je bila odločba vročena dne 21.5.2007. 24.5.2007 je bila s strani odvetnice – pooblaščenke družbe vložena pritožba zoper odločbo in s tem je po mnenju Inšpektorata RS za okolje in prostor Odločba z dne 3.5.2007 nična. 24.7.2007 Inšpektorat RS za okolje in prostor območna enota Celje ponovno izda odločbo, da mora takoj po prejemu te odločbe ustaviti gradnjo asfaltne baze (AB je bila zgrajena leta 1998 in vse od takrat je v fazi obratovanja, inšpektorji pa leta 2007 zahtevajo ustavitev gradnje?) in odredi ponovno odstranitev objektov asfaltne baze. 14.11.2007 od Inšpektorata RS za okolje in prostor, enota Celje dobimo dopis, da je objekt v legalni uporabi in da gradbena inšpekcija nima razlogov za prepovedovanje uporabe. 6.12.2007 Upravno sodišče Celje zavrne pritožbo investitorja asfaltne baze na razveljavitev gradbenega dovoljenja številka 351-31/2004-221 z dne 14.9.2007. 5.3.2008 Upravna enota Šentjur izda Sklep o dovolitvi obnove postopka uporabnega dovoljenja št. 351-78/2006-231, na katero se je investitor AB pritožil, zato je Upravna enota Šentjur odstopila odločitev drugostopenjskemu organu MOP. 6.1.2009 je MOP izdalo odločbo, da se sklep o dovolitvi obnove postopka Upravne enote Šentjur odpravi in postopek obnove uporabnega dovoljenja ustavi. 6.8.2009 je MOP izdalo odločbo št. 35110-9/2007-53, s katero je izničilo uporabno dovoljenje izdano 12.7.2006. Na to odločbo se je investitor pritožil na Upravno sodišče. 9.11.2010 je Upravno sodišče izreklo da se tožbi Mirka Kovača ugodi. Odločba MOP, št. 35110-9/2007-53 z dne 6. 8. 2009, se odpravi in se zadeva vrne toženi stranki v ponoven postopek. MOP ponovnega postopka ni sprožilo, ker menijo, da nimajo argumentov. 4.9.2009 je Inšpektorat RS za okolje in prostor, enota Celje izdal odločbo Elektru Celje d.d., da v roku 10 dni prekine dobavo električne energije asfaltni bazi iz javnega omrežja. Investitor je na Upravno sodišče dal zahtevo za začasno zadržanje te odločbe, katero pa je sodišče v mesecu decembru 2009 zavrnilo.23.8.2010 Občinski svet občine Šentjur na 2. izredni seji v tretje sprejme Odlok o spremembah in dopolnitvah odloka o prostorskih ureditvenih pogojih Občine Šentjur – skrajšani postopek, s katerim bi bila dana možnost legalizacije asfaltne baze v Planinski vasi. Odlok je bil sprejet nezakonito, saj ni bil izveden po določbah 57. do 61. člena ZPNačrt-a. MOP je občino Šentjur opozorilo, da je razpisan način sprejema odloka nezakonit in občina ga je kljub opozorilu sprejela.24.6.2012 je Vlada RS podala Ustavnemu sodišču zahtevo za oceno ustavnosti in zakonitosti sprejetega odloka in ta je 16.2.2012 izdalo Odločbo št. I-130/11-15, da se sprejeti odlok odpravi. TRETJIČV kolikor bo OPN sprejet takšen kot je bil prikazan v razgrnitvi, bo dan OPN v ponovno presojo Ustavnemu sodišču, torej v ČETRTO, ASFALTNA BAZA PA BO PO ZASLUGI OPN VESELO OBRATOVALA DALJE BREZ GRADBENEGA DOVOLJENJA, SAJ JO ŠČITIJO TAKO ŽUPAN KOT OBČINSKI SVET.SPRAŠUJEMO SE ZAKAJ JE INŠPEKCIJA PODIRALA OBJEKTE BREZ »POLITIČNE ZAŠČITE«, KO PA SE LAHKO NA DRUGEM KONCU SLOVENIJE GRADI POD BLAGOSLOVOM DRŽAVNIH IN OBČINSKIH INŠTITUCIJ BREZ GRADBENIH DOVOLJENJ!?!MOGOČE JE ODGOVOR ZNAN: V TEJ SAGI NASTOPAJO TUDI SLOVENSKI POLITIČNI VELJAKI PROTI MALEMU ČLOVEKU, POD REKLOM: »NAJ SE VE, KDO JE GLAVNI V TEJ DRŽAVI«, TUDI TAKRAT, KO GRE ZA ZAČITO ČLOVEŠKEGA ZDRAVJA IN ZAŠČITE NARAVE! ALI RES ŽIVIMO V PRAVNI DRŽAVI, PA JE ŽE DRUGO VPRAŠANJE, KI GA BOMO VERJETNO MORALI RAZČISTITI IZVEN SLOVENIJE, SAJ KOT KAŽE BO NOVI VARUH ZA ČLOVEKOVE PRAVICE POLITIČNA OSEBNOST! KAM PLUJEMO???Predsednik ALPE ADRIA GREEN:Vojko Bernard |
ČRNA LISTA AAG -2011
KOMISIJA ZA IZBIRO NAJBOLJ NEEKOLOŠKE OSEBNOSTI PRI AAG JE IZBRALA MED ŠTIRIMI KANDIDATI g.JANEZA POTOČNIKA komisarja EU direktorata za okolje EU
– OBRAZLOŽITEV –
Ob zahtevi Glavnega Direktorata za Okolje Evropske komisije za blokado postopka proti Italiji za ugotavljanje kršitev direktive Seveso (varnost industrijskih obratov) v Tržaški pokrajini je Alpe Adria Green (AAG) izbral evropskega komisarja za okolje, Janeza Potočnika, kot najbolj neokološko osebnost v letu 2011, za njegovo vlogo pri upravljanju okoljskega konflikta v zvezi s projekti dveh plinskih terminalov v Tržaškem zalivu.
V AAG poudarjamo, da Evropska komisija igra umazano. Najprej, kljub ogromni količini dokazov, ki jih je AAG vložila(med katerimi celo ponarejanje dokumentov s strani španske družbe za gladko pridobitev gradbenega dovoljenja), “zamrzne” preiskave o nepravilnosti postopka pri presoji vplivov na okolje (It. VIA valutazione impatto ambientale) španskega projekta Gas Natural. Kasneje in to prav ko se postopek prične, pa presenetljivo zahteva blokado te preiskave in to zopet na podlagi neresničnih izjav italijanskih organov.
Poleg tega, Evropska komisija Evropskemu parlamentu skrije novico o blokadi postopka, kar je v korist izgradnji terminala v Žavljah. Evropski parlament je namreč tisti organ, ki je sprejel peticijo okoljevarstvenikov AAG in AAG-Greenaction in začel skupno preiskavo obeh navedb, torej kršitev direktive Seveso in nepravilnosti v procesu za pridobitev gradbenega dovoljenja takih obratih v Tržaškem zalivu.
Glavni Direktorat Evropske komisije za okolje je namreč zahteval blokado tega postopka že 18. novembra in to štiri dni preden je Evropski Parlament (22. novembra) začel razpravo istega v zasedbi odbora za peticije. Na sklicu so bili prisotni iz GD Evropske komisije za okolje vendar v razpravi ni prišlo z njihove strani nobene izjave glede blokade, tako da se je vsem zdelo, da je preiskava še v teku.
Obnašanje Evropske komisije je hudo nepošteno. Zgleda da so na to vplivali in še vplivajo pritiski Italije, ki močno podpira gradnjo plinskih terminalov v Tržaškem zalivu.
AAG je skozi svoje predstavništvo v Italiji (AAG- Greenaction Transnacional) že vložilo ugovor zahtevi zaradi blokade postopka za kršitev direktive seveso v Trstu in vlaga novo peticijo na Evropski parlament za pomanjkanje enotne študije efekta domino v Tržaški pokrajini.
AAG meni, da bi v luči tega moral Evropski parlament nujno vprašati za pojasnilo komisarja Janeza Potočnika in predsednika komisije Barrosa ter poziva Evropske poslance naj v zvezi s tem ukrepajo.
Predsednik Alpe Adria Green:
Vojko Bernard
Komisija za izbiro prvega imena za črno listo pri mednarodni organizaciji Alpe Adria Green je izbrala ime prvega četrtletja 2011 leta. To je ga.dr. Ljubica Jelušič, Ministrica za obrambo RS, ki želi raširiti in s tem povezati vojaška vadbišča Poček in Bač
OBRAZLOŽITEV
Območje je poleg hrupa letal, kamionov, pehotnega in artilerijskega, raketnega orožja, raznoraznih izstrelkov, onesnaženja s težkimi kovinami je ogrožena tudi vir življenja – našega obstoja na tem čudovitem okolju zadnje nedotaknjene oaze Snežniškojavorniških gozdovih -VODA!

Na zbirnem področju Počka se voda steka v vodovodno omrežje za prebivalce občin Postojna, Ilirska Bistrica, Pivka in delno Vipava.
Poleg ogrožanja vodnega vira, komisija ugotavlja, da si gospa ministrica, ki vodi razširitev vojaškega poligona POČEK – BAČ prislužila mesto na črni listi še:
– zaradi negativnih ekoloških, prostorskih, gospodarskiharin socialnih posledic, ki so jih v preteklosti, in jih še povzročajo vojaške aktivnosti na območju vojaških poligonov Bač in Poček,
– zaradi nespoštovanja “NATURE 2000″,
– zaradi dejstva, da je na območju potrebno zagotoviti zaščito naravnih virov,
– zaradi načrtovanih prostorskih posegov v okviru DPN, degradacije kvalitete življenja, ki ga le-ta prinaša in
– zavoljo skrbi za zdravje in mirne prihodnosti tamkaj živečih prebivalcev, še posebno pa otrok!
Predsenik ALPE ADRIA GREEN: Jesenice: 10.04.2011
Vojko Bernard
Alpe Adria Green
Jesenice: 10.04.2011
Komisija za izbiro imena za črno listo pri mednarodni okoljski organizaciji Alpe Adria Green je izbrala ime drugega četrtletja 2011 leta. To je Župan Občine Škofja Loka mag. Miha Ješe
O b r a z l o ž i t e v
Pred zadnjimi občinskimi volitvami so na sedež Združenja civilnih pobud v Škofji Loki, ki je član AlpeAdriaGreen, povabili vse županske kandidate in z njimi opravili predvolilne razgovore. Med njimi tudi sedanjega župana mag. Miha Ješeta, ki je Združenju civilnih pobud zagotovil, da bo z občani in civilno družbo sodeloval in delal po zakonitih določilih in v dobro Škofje Loke. »Miha Ješe in prijatelji Loke«, tako se je imenovala lista na čelu katere se je potegoval za župana, je nastopal pod parolo: Sprememba? Ali vse po starem?
Zdaj so se njegove predvolilne izjave izkazale za neodpustljivo prevaro. Na črno tablo AAG ga postavljamo zaradi njegove dvoličnosti, podpiranja nezakonitostmi in neodgovornega ravnanja z okoljem.
Med drugim je:
–pred kot županski kandidat izjavljal, da je proti gradnji parkirišču na Nunskem vrtu, ko pa je bil izvoljen je mnenje spremenil in postal njegov vnet zagovornik (Nunki vrt je namreč varovana kulturna krajine Kranclja (EDŠ 16671), ki leži v širšem območju kulturnega spomenika Škofja Loka Mestno jedro (EDŠ 737). Izgradnja parkirišča bi povzročila izgubo dragocene krajine in zapravila možnost za lokacijo mestnega parka, ki ga mesto nima),
-kot izvoljeni župan pa, da bo dokončal začete zadeve, ki jih je začel njegov predhodnik, čeprav niso in nikoli ne bodo v javnem interesu, ter pomenijo zgolj zapravljanje občinskega denarja in ponižujoče služenje posameznim investitorjem ali izvajalcem na račun skupnosti. Če bi pred volitvami zagovarjal to stališče ne bi bil nikoli izvoljen,
– po volitvah izjavil, da ve za nepravilnosti občinske oblasti pod vodstvom prejšnjega župana Igorja Drakslerja, a s tem ne bo ukrepal,
– v medijih izjavil, da razhajanja med predvolilnimi obljubami in sedanjimi stališči ne bo komentiral,
– vedel, da je gradbeno dovoljenje za parkirišče na Nunskem vrtu pridobljeno na nezakonit način, saj Občina nima ustreznega zakonsko obvezujočega soglasja Zavoda za varstvo kulturne dediščine območna enota Ljubljana (ZVKDS). Kulturnovarstveno soglasje Zavoda za varstvo kulturne dediščine Slovenije območna enota Ljubljana za spremembo Nunskega vrta, je namreč izdano za izrecno poudarjeno začasno parkirišče, medtem, ko je veljavno gradbeno dovoljenje stalno, saj začasno ne obstoja, nikjer pa tudi sicer ni opredeljena začasnost,
– vedel, da je bil v postopku kršen Zakon o varstvu kulturne dediščine,
– vedel, da je bila kršena Okvirna konvencija Sveta Evrope o vrednosti kulturne dediščine za družbo (MOKVKDD), ratificirana v RS 27. oktober 2005,
-vedel, da je v postopku pridobivanja gradbenega dovoljenja za Nunski vrt kršena Aarhuška konvencija, javnost je bila iz odločanja izločena in tudi neinformirana, pa tudi zahtevane informacije javnega značaja so ji bile posredovane v nezakonitih rokih,
-ignoriral štiristo podpisnikov Peticije za Gradnjo mestnega parka na območju Nunskega vrta,
-ignoriral »Pilotni načrta revitalizacije prenove Škofje Loke« narejen po naročilu Ministrstva za okolje in prostor med leti 1998 in leta 2000 . je bil podlaga za pripravo nove slovenske zakonodaje, ki naj bi sledila sodobnim zahtevam in evropskim usmeritvam. Pilotni projekt je podrobno opredelil probleme, cilje in možnosti prostorskega načrtovanja prenove mesta. Rezultati so pokazali, da je možno z navedenimi cilji mesto Škofja Loka razviti in posodobiti ob upoštevanju značilnih kvalitet kulturne in naravne dediščine, ob istočasnem zviševanju kvalitete urbanega prostora. Študije so bile narejene na najvišji možni strokovni ravni, sodelovala je tudi ekspertna skupina, ki jo je imenoval Svet Evrope. Pilotni projekt za Škofjo Loko je bil skupaj s kanadskim mestom Lunenberg predstavljen na svetovnem kongresu Unesca (ICOMOS) v Braziliji. Študije so bile posredovane tako na Ministrstvo za okolje, kot na Občino Škofja Loka, ki jih je zaradi očitnih drugačnih interesov pospravila pod preprogo in jih nadomestila s parcialnim, segmentnim urejanjem, katerega ozadje nima strokovnosti,
-ignoriral v letu 2003 po naročilu Občine Škofja Loka narejeno strokovno nalogo » Celostno varstvo in prenova v razvojnem urejanju Škofje Loke z upoštevanjem strokovne paradigme trajnostnega razvoja mesta«. Namen študije je bila izdelava smernic za preoblikovanje naselja Škofje Loke v celovito, funkcionalno in estetsko celoto,
– ignoriral mnenje AAG in drugih nevladnih organizacij.
Loško je ekološko« – nova parola s katero namerava mag. Ješe ublažiti javni gnev ob uničevanju varovane kulturne krajine Nunski vrt, parola naj bi poudarjala občinski odnos do okolja, predstavlja novo puhlico in je spet v popolnem nasprotju s tem, kar župan počne.
Miha Ješe je tako edini in glavni krivec za nadaljevanje sumljivega početja prejšnjega župana in je nič drugega kot novi župan, ki dela po starem. Mestu in prebivalcem Škofje Loke je s svojo dvoličnostjo, v kratkem času naredil nepopravljivo škodo. In kar je morda še hujše: mag. Miha Ješe je storil svoj prvi zločin nad mestom!
Predsednik Alpe Adria Green:
Vojko Bernard

Postanite tudi vi član ALPE ADRIA GREEN – ZA EKO PRIHODNOST NAŠIH OTROK, s tem boste aktivno vplivati k varovanju okolja , to lahko storite, če kliknete spodnjo povezavo:
https://alpeadriagreen.wordpress.com/pristopna-izjava/
SKUPAJ BOMO MOČNEJŠI !!!
Komisija za izbiro imena za črno listo pri mednarodni okoljski organizaciji Alpe Adria Green je izbrala ime tretjega četrtletja 2011 leta. Komisija je med predlaganimi izbrala skupino povezanih oseb, ki so vpletene v gradnjo Bioplinarne Petač v Zgornjih Pirničah. To skupino predstavljajo odgovorna oseba podjetja BIOŠTROM d.o.o. in odgovorne osebe podjetja KETER GROUP.

Obrazložitev:
Investitor – podjetje BIOŠTROM d.o.o. je v sodelovanju s podjetjem KETER GROUP zgradilo bioplinarno na območju Zgornjih Pirnič pri Medvodah. Investitor je imel izdano dovoljenje za postavitev objektov – hiše, hleva in manjše bioplinarne za potrebe kmetije.
Investitor je skupaj s podjetjem KETER GROUP, ki je znano po gradnji bioplinarn, zgradil le bioplinarno, obravnavano kot zahteven industrijski objekt. S strani MOP je bila ta gradnja opredeljena kot nelegalna gradnja oziroma kot črna gradnja. Investitorju je bila izdana odločba za rušenje, kar pa se do danes ni zgodilo. Nasprotno! Investitor na območju bioplinarne kljub preteku roka za rušitev nelegalnih objektov nemoteno nadaljuje z obsežnimi gradbenim deli ter zavestno ignorira odločbe inšpekcij.
V tem zadnjem obdobju je prišlo zaradi teh del na območju bioplinarne do prekladanja oziroma premikanja velikih količin silaže oziroma biomase, zaradi česar se praktično po celotnem kraju širi neznosen smrad. Koncentracije tega so bile izmerjene s strani medvoške občine in pokazale so zaskrbljujoče rezultate. Na nekaterih mestih je bila količina smradu označena z enoto 30, kar pomeni, da tam praktično ni zraka.


Investitorju je bilo v zadnjem obdobju izdanih več odločb, ki bi omilile smrad, vendar do sedaj ni ukrepal. Trenutno, zaradi vremenskih razmer, smrad ni toliko zaskrbljujoč, skrbi pa nas malomaren odnos investitorja do sokrajanov, ki tam živijo in so izpostavljeni negativnim vplivom. Za pojasnitev svojih, za nas nerazumljivih dejanj, nima posluha ne za sokrajane, ne za občinske uradnike kakor tudi ne za medije, ki redno poročajo o problemu v Zg. Pirničah.
Kot posmeh ekologiji v Sloveniji sta revija Podjetnik in Obrtno-podjetniška zbornica Slovenije v Ljubljani podelili 19.10.2011 Marjanu Kolarju iz podjetja Keter Group iz Maribora priznanje za podjetniški vzor.
Dodatek:
Dejansko je evidentno, da g. PETAČ ni edina oseba, ki bi si zaslužila ta naziv.
Predsednik Alpe Adria Green:
Vojko Bernard
Komisija za izbiro četrtega imena za črno listo pri mednarodni organizaciji Alpe Adria Green je izbrala ime zadnjega četrtletja 2011 leta. To je g. Janez Potočnik – komisar EU direktorata za okolje EU
Ob zahtevi Glavnega Direktorata za Okolje Evropske komisije za blokado postopka proti Italiji za ugotavljanje kršitev direktive Seveso (varnost industrijskih obratov) v Tržaški pokrajini je Alpe Adria Green (AAG) izbral evropskega komisarja za okolje, Janeza Potočnika, kot ime zadnjega četrtletja na črni tabli, za njegovo vlogo pri upravljanju okoljskega konflikta v zvezi s projekti dveh plinskih terminalov v Tržaškem zalivu.
V AAG poudarjamo, da Evropska komisija igra umazano. Najprej, kljub ogromni količini dokazov, ki jih je AAG vložila(med katerimi celo ponarejanje dokumentov s strani španske družbe za gladko pridobitev gradbenega dovoljenja), “zamrzne” preiskave o nepravilnosti postopka pri presoji vplivov na okolje (It. VIA valutazione impatto ambientale) španskega projekta Gas Natural. Kasneje in to prav ko se postopek prične, pa presenetljivo zahteva blokado te preiskave in to zopet na podlagi neresničnih izjav italijanskih organov.
Poleg tega, Evropska komisija Evropskemu parlamentu skrije novico o blokadi postopka, kar je v korist izgradnji terminala v Žavljah. Evropski parlament je namreč tisti organ, ki je sprejel peticijo okoljevarstvenikov AAG in AAG-Greenaction in začel skupno preiskavo obeh navedb, torej kršitev direktive Seveso in nepravilnosti v procesu za pridobitev gradbenega dovoljenja takih obratih v Tržaškem zalivu.
Glavni Direktorat Evropske komisije za okolje je namreč zahteval blokado tega postopka že 18. novembra in to štiri dni preden je Evropski Parlament (22. novembra) začel razpravo istega v zasedbi odbora za peticije. Na sklicu so bili prisotni iz GD Evropske komisije za okolje vendar v razpravi ni prišlo z njihove strani nobene izjave glede blokade, tako da se je vsem zdelo, da je preiskava še v teku.
Obnašanje Evropske komisije je hudo nepošteno. Zgleda da so na to vplivali in še vplivajo pritiski Italije, ki močno podpira gradnjo plinskih terminalov v Tržaškem zalivu.
AAG je skozi svoje predstavništvo v Italiji (AAG- Greenaction Transnacional) že vložilo ugovor zahtevi zaradi blokade postopka za kršitev direktive seveso v Trstu in vlaga novo peticijo na Evropski parlament za pomanjkanje enotne študije efekta domino v Tržaški pokrajini.
AAG meni, da bi v luči tega moral Evropski parlament nujno vprašati za pojasnilo komisarja Janeza Potočnika in predsednika komisije Barrosa ter poziva Evropske poslance naj v zvezi s tem ukrepajo.
Predsednik Alpe Adria Green:
Vojko Bernard
Mednarodna organizacija za zaščito okolja in narave
Prešernova 26, 4270 Jesenice Slovenija
Gms: 051 311 450
AAG dela izljučno z denarjem, ki ga pridobi od sponzorjev in prostovoljnih prispevkov.
Podprite naše delo za prihodnost naših otrok. Prispevke lahko nakažete na TTK odprt pri Poštni Banki Slovenije: SI56- 9067-2000-0636-284. Za prispevek se Vam najlepše zahvaljujemo!
Komisija za izbiro prvega imena za črno listo pri mednarodni organizaciji Alpe Adria Green je izbrala ime prvega četrtletja 2010 leta. To je g.Matej Lahovnik
Mednarodna okoljska organizacija Alpe Adria Green uvršča po sklepu Komisije za oceno okoljske primernosti za državo Slovenijo z dne 12.4.2010 na svojo ČRNO TABLO OKOLJU NEPRIJAZNIH OSEB, za prvo četrletje 2010, gospodarskega ministra Mateja Lahovnika, zaradi vztrajanja pri zagovorjanju investicije v TEŠ6.
OBRAZLOŽITEV
Komisija za oceno okoljske primernosti za Slovenijo je na svoji redni seji pregledala javne izjave ministra za gospodarstvo in dostopne podatke na različnih spletnih straneh o predvideni investiciji TEŠ 6. Pri svojem delu je komisija ugotovila, da bo TEŠ6, kljub najnovejši izbrani tehnologiji francoskega proizvajalca še vedno pri proizvajanju električne energije, oddajala v okolje večjo količino toplogrednih emisij, kot pa jih dane obveze Republike Slovenije po Protokolu iz Kyota in zaveza ob vstopu v članstvo Evropske Zveze dopuščajo . Tako se zavestno odločamo k kršenju danih obvez in obveznem letnem plačevanju emisijskih kuponov v breme državnega proračuna. Vse to je v nasprotju s sprejetim Operativnim planom o zmanjševanju toplogrednih emisij in tudi v nasprotju s sprejetim Nacionalnim energetskim planom. Ob intenzivnem podpiranju investicije pa minister Matej Lahovnik in njegovo mnistrstvo ni ničesar naredilo za povečano rabo obnovljivih virov energije v državi.
Komisija je mnenja,da naj minister toliko časa ostane na tej Črni tabli okolju neprijaznih oseb, dokler Ministrstvo za gospodarstvo ne sprejme ukrepov za promocijo in večjo rabo obnovljivih virov energije v Sloveniji.
Mednarodna organizacija AAG bo spremljala razvoj dogodkov do prejema informacije iz medijev o prejemu poročila nevtralne organizacije o predvideni investiciji v Šoštanju, katera se išče po sklepu Vlade RS. Predviden rok za obravnavo takšnega poročila je 120dni.
Predsenik ALPE ADRIA GREEN: Jesenice: 14.04.2010
Vojko Bernard
Komisija za izbiro drugega imena za črno listo pri mednarodni organizaciji Alpe Adria Green je izbrala ime drugega četrtletja 2010 leta.
To je:
Mladen Berginc zaposlen na Sektorju za ohranjanje narave pri ministrstvu za okolje in prostor in je eden izmed glavnih pobudnikov, da se v državni zbor pošlje zakon o Triglavskemu Narodnem Parku v nasprotju z IUCN kriteriji in brez sodelovanja javnosti. S tem je Triglavski park, če upoštevamo vse kriterije iz novega zakona postal Krajinski park, čeprav predlagatelji trdijo drugače. Slovenija tako nima več Narodnega parka.
ZAŠČITENO OBMOČJE V TRIGLAVSKEM PARKU
Predsenik ALPE ADRIA GREEN: Jesenice: 10.07.2010
Vojko Bernard
Tretje ime na “črni tabli” AAG
Komisija za izbiro imena za črno listo pri mednarodni organizaciji Alpe Adria Green je izbrala ime tretjega četrtletja 2010 leta.
To je sedanja odgovorna vodja inšpektorata RS za okolje in prostor – Območna enota Kranj -ga. Irena Bidovec
OBRAZLOŽITEV
Inspektorat RS za okolje in prostor – območna enota Kranj že več kot deset let rešuje primer Izet Skenderovič na Jesenicah, krajevna skupnost Podmežaklja, ki ima črno odlagališče odpadkov. Od leta 2000 AAG ( prej Gorenjsko Ekološko Združenje) prijavlja zgoraj navedenega gospoda lokalnemu inšpektorju za okolje, policiji in občini to nelegalno odlagališče vendar vse do danes brezuspešno! To kaže na totalno nedelovanje okoljske inšpekcije na področju Jeseniške občine. Smetišče leži v naselju, tik zraven transformatorske postaje ter ogroža varnost in zdravje okoliških prebivalcev v KS Podmežaklja – občina Jesenice.
Fotografirano 10.09.2010

Predsenik ALPE ADRIA GREEN: Jesenice: 20.10.2010
Vojko Bernard
Pridružite se nam na FACEBOOK-u: http://www.facebook.com/vojko.bernard
Komisija za izbiro četrtega imena za črno listo pri mednarodni organizaciji Alpe Adria Green je izbrala ime zadnjega četrtletja 2010 leta.
To je:
mag. Marko Zidanšek iz mestne občine Celje ki je dejal, da ima občutek, da mestna občina Celje vsake toliko časa doživi napad “ekoteroristov”, ki ne prepoznajo prizadevanj mestne občine Celje, da mesto primerno pozicionira v slovenski prostor. Mag. Marko Zidanšek za mandat 2010- 2014 še kar želi biti podžupan v nasprotju z zakonskim določilom o nezdružljivosti funkcij in so zato vložili pobudo za ustavno presojo za vse tri podžupane , ki so tudi direktorji družb v občinski lasti. Požrešnost po funkcijah in denarju je brezmejna. V preteklih letih je bil podžupan za okolje in prostor za mandat 2006- 2010, direktor javnega komunalnega podjetja – Simbio, ter je predsednik SLS Celje. V letu 2006, kot podžupan za okolje in prostor ni reagiral na prijave občanov ob navozu strupene zemlje na črno deponijo v Bukovžlaku, kjer so nevestni in po denarju lakomni storilci za stoletja zastrupili okolje.

ODLAGANJE NEVARNIH ODPADKOV IZ “STARE CINKARNE”
OBRAZLOŽITEV
V oktobru letošnjega leta je komisija pri nevladni mednarodni okoljski organizaciji Alpe Adria Green izvedla ekološko patruljo v mestni občini Celje in njeni okolici. Okoljsko patruljo smo izvedli na podlagi pritožb tamkaj živečih naših prebivalcev. Rezultati so bili slabši kot smo sprva mislili, zato smo podrobneje skupaj z Civilnimi iniciativami Celja pregledali celotno razpoložljivo dokumentacijo, ki smo jo uspeli pridobiti. Na podlagi te dokumentacije, smo naredili zapisnik, ter sklicali tiskovno konferenco, na kateri smo novinarjem in širši javnosti predstavili rezultate ekološke patrulje. Na tiskovni konferenci niti v poročilu EKOLOŠKE PATRULJE nismo navajali, da je občina neposredno odgovorna za to stanje.
»V mestni občini Celje so se čutili dolžni odzvati na trditve okoljske patrulje Alpe Adria Green (AAG), čeprav od nas niso dobili nobenega uradnega dokumenta, veliko pa so pisali mediji« in so zaradi tega sklicali tiskovno konferenco na kateri so nas poimenovali EKOTERORISTI in da smo podatke, ki smo jih navedli pobrali iz konteksta in da so podatki lažnivi. Obtožili so nas tudi, da strašimo ljudi in prikazujemo okoljevarstvene probleme črno-belo. “Od civilne iniciative bi pričakovali več konstruktivnega sodelovanja pri reševanju okoljskih vprašanj,” so še dodali, čeprav se je bil predsednik AAG, pred novinarsko konferenco pripravljen sestati z županom, vendar na ta predlog ni dobil odgovora.
Predsednik Alpe Adria Green: Jesenice: 21.12.2010
Vojko Bernard
Postanite tudi vi član ALPE ADRIA GREEN – ZA EKO PRIHODNOST NAŠIH OTROK, s tem boste aktivno vplivati k varovanju okolja , to lahko storite, če kliknete spodnjo povezavo:
https://alpeadriagreen.wordpress.com/pristopna-izjava/
SKUPAJ BOMO MOČNEJŠI !!!
| SPOŠTOVANI: Alpe Adria Green deluje, brez redno zaposlenih. Finančna sredstva za naše delovanje prispevajo občani, preko: -članarin – od dela dohodnine, ki jo lahko daste AAG, namesto državi NAMENITE 0,5% DOHODNINE ALPE ADRIA GREEN, KI DELUJE KOT NEPROFITNA ORGANIZACIJA, BREZ REDNO ZAPOSLENIH. VES ZBRANI DENAR NAMENIMO ZA ZDRAVO PRIHODNOST NAŠIH OTROK, ZA VLOŽITEV ZAHTEVE IMATE ČAS SAMO ŠE DO 31.12!!! https://alpeadriagreen.wordpress.com/dohodnina-obrazrc/ |



You must be logged in to post a comment.